Image Details

Choose export citation format:

A Catalogue of Interstellar Material Delivery from Nearby Debris Disks

  • Authors: Cole R. Gregg, Paul A. Wiegert

Cole R. Gregg and Paul A. Wiegert 2025 The Planetary Science Journal 6 .

  • Provider: AAS Journals

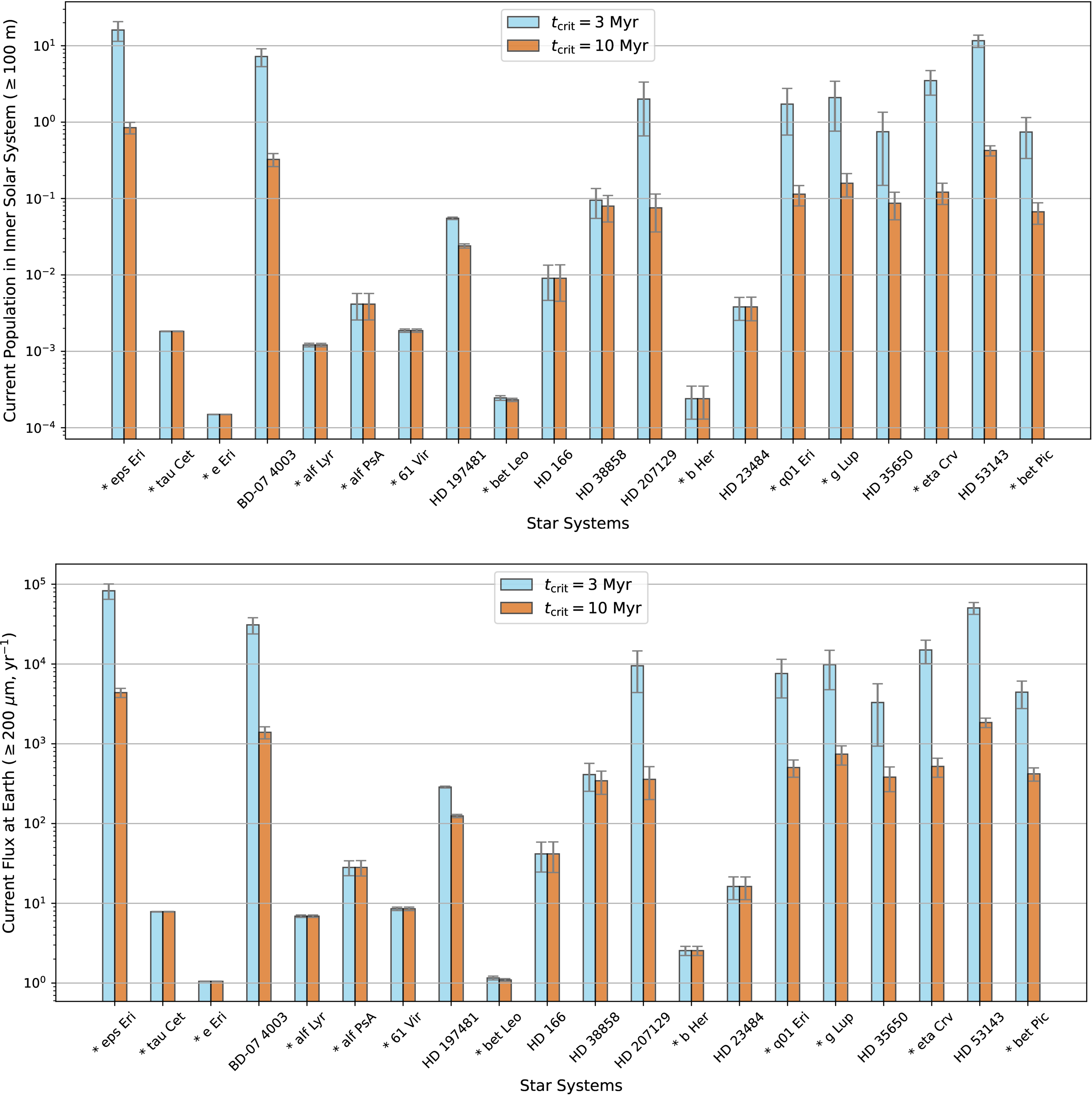
Caption: Figure 3.

The top panel shows the expected current population of ≥100 m particles in the inner solar system. The bottom panel is the current flux of ≥200 μm particles at Earth.

Other Images in This Article
Copyright and Terms & Conditions

Additional terms of reuse