Image Details

Choose export citation format:

Correcting Ionospheric Faraday Rotation for the VLA and MeerKAT

  • Authors: Richard A. Perley, Bryan J. Butler, Eric W. Greisen, Benjamin V. Hugo, Evangelia Tremou, A. G. Willis

Richard A. Perley et al 2026 The Astrophysical Journal Supplement Series 283 .

  • Provider: AAS Journals

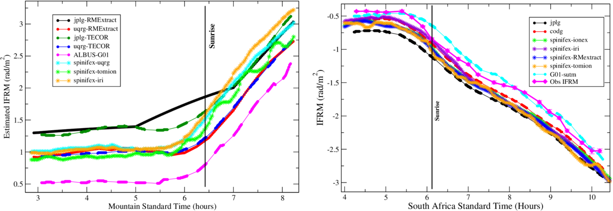
Caption: Figure 14.

Comparing the IFRM estimates provided by TECOR, RMextract, ALBUS, and spinifex for the D2 observation. Left panel: for the VLA “D2' observation on 2023 November 4. The ALBUS values, in magenta, are an excellent match to the observed IFRM values. All models based on global VTEC estimates overcorrect the IFRM by 0.5–1.0 rad m−2. Right panel: for the MeerKAT observation on 2025 August 18. The observed IFRM is in magenta, the G01-sutm estimate is in blue. All models based on VTEC maps again overestimate the IFRM, although by less than for the VLA: about −0.3rad m−2.

Other Images in This Article

Show More

Copyright and Terms & Conditions

Additional terms of reuse