Image Details

Choose export citation format:

Dual Active Galactic Nuclei on 100 kpc Scales from the Million Quasar Catalog

  • Authors: Zhuojun Deng, Cheng Xiang, Qihang Chen, Liang Jing, Xingyu Zhu, Jianghua Wu

Zhuojun Deng et al 2026 The Astrophysical Journal Supplement Series 283 .

  • Provider: AAS Journals

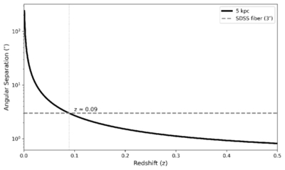
Caption: Figure 9.

Angular separation as a function of redshift corresponding to a projected distance of 5 h﹩{}_{70}^{-1}﹩ kpc. The blue dashed line indicates the SDSS fiber diameter of 3″.

Other Images in This Article

Show More

Copyright and Terms & Conditions

Additional terms of reuse