Image Details

Choose export citation format:

MESA Isochrones and Stellar Tracks (MIST). II. Models with α-enhanced Chemical Composition

  • Authors: Aaron Dotter, Evan B. Bauer, Minjung Park, Charlie Conroy, Antonino P. Milone, Meridith Joyce, Matteo Cantiello

Aaron Dotter et al 2026 The Astrophysical Journal Supplement Series 283 .

  • Provider: AAS Journals

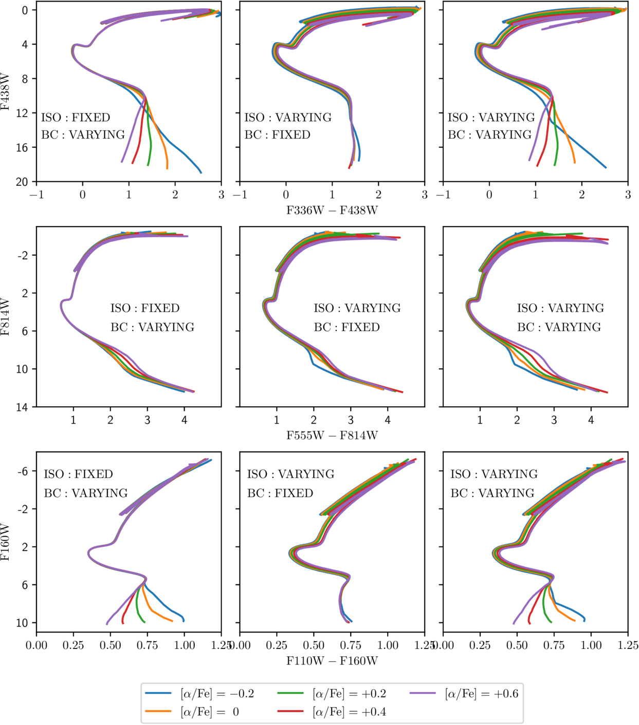
Caption: Figure 5.

Isochrones at 8 Gyr and [Fe/H] = –0.5 for three different HST-WFC3 CMDs. The panels demonstrate the effect of varying [α/Fe] on the bolometric corrections (BCs) and the underlying isochrones. The left column shows the effect of varying [α/Fe] in the BCs while keeping the underlying isochrones fixed at [α/Fe] = +0.2. The middle panel shows the effect of varying [α/Fe] in the isochrones while leaving the BCs fixed at [α/Fe] = +0.2. The right panel shows the combined effect of varying both components together.

Other Images in This Article
Copyright and Terms & Conditions

Additional terms of reuse