Image Details

Choose export citation format:

The Initial Mass Function Based on the Full-sky 20 pc Census of ∼3600 Stars and Brown Dwarfs

  • Authors: J. Davy Kirkpatrick, Federico Marocco, Christopher R. Gelino, Yadukrishna Raghu, Jacqueline K. Faherty, Daniella C. Bardalez Gagliuffi, Steven D. Schurr, Kevin Apps, Adam C. Schneider, Aaron M. Meisner, Marc J. Kuchner, Dan Caselden, R. L. Smart, S. L. Casewell, Roberto Raddi, Aurora Kesseli, Nikolaj Stevnbak Andersen, Edoardo Antonini, Paul Beaulieu, Thomas P. Bickle, Martin Bilsing, Raymond Chieng, Guillaume Colin, Sam Deen, Alexandru Dereveanco, Katharina Doll, Hugo A. Durantini Luca, Anya Frazer, Jean Marc Gantier, Léopold Gramaize, Kristin Grant, Leslie K. Hamlet, Hiro Higashimura, 村 滉 東, Michiharu Hyogo, Peter A. Jałowiczor, Alexander Jonkeren, Martin Kabatnik, Frank Kiwy, David W. Martin, Marianne N. Michaels, William Pendrill, Celso Pessanha Machado, Benjamin Pumphrey, Austin Rothermich, Rebekah Russwurm, Arttu Sainio, John Sanchez, Fyodor Theo Sapelkin-Tambling, Jörg Schümann, Karl Selg-Mann, Harshdeep Singh, Andres Stenner, Guoyou Sun, 国佑 孙, Christopher Tanner, Melina Thévenot, Maurizio Ventura, Nikita V. Voloshin, Jim Walla, Zbigniew Wędracki, Jose I. Adorno, Christian Aganze, Katelyn N. Allers, Hunter Brooks, Adam J. Burgasser, Emily Calamari, Thomas Connor, Edgardo Costa, Peter R. Eisenhardt, Jonathan Gagné, Roman Gerasimov, Eileen C. Gonzales, Chih-Chun Hsu, Rocio Kiman, Guodong Li, Ryan Low, Eric Mamajek, Blake M. Pantoja, Mark Popinchalk, Jon M. Rees, Daniel Stern, Genaro Suárez, Christopher Theissen, Chao-Wei Tsai, Johanna M. Vos, David Zurek

J. Davy Kirkpatrick et al 2024 The Astrophysical Journal Supplement Series 271 .

  • Provider: AAS Journals

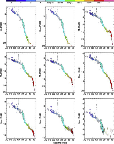
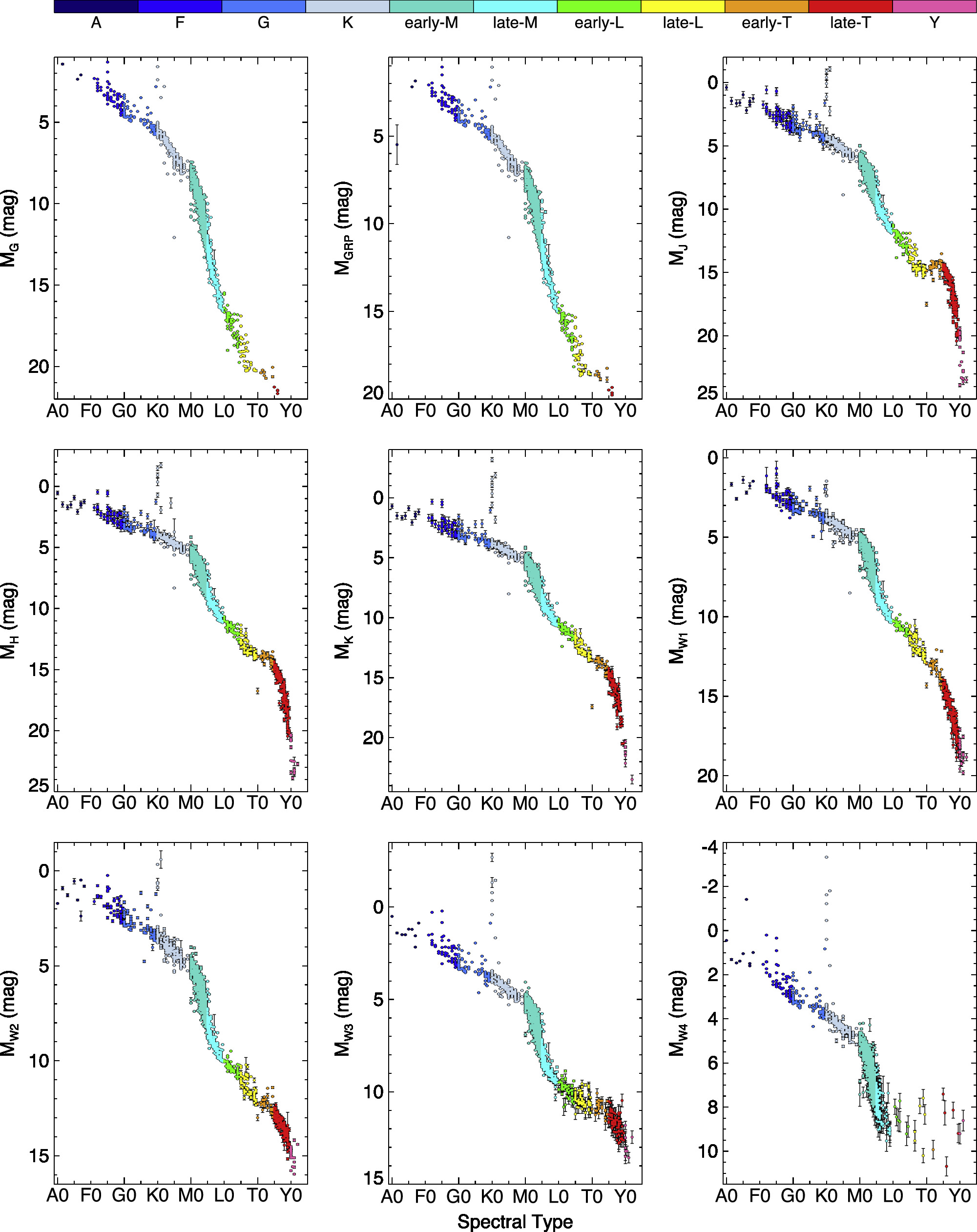
Caption: Figure 4.

Various absolute magnitudes plotted against spectral type for the 20 pc census. See text for details.

Other Images in This Article

Show More

Copyright and Terms & Conditions

Additional terms of reuse