Image Details

Choose export citation format:

DirtyGrid I: 3D Dust Radiative Transfer Modeling of Spectral Energy Distributions of Dusty Stellar Populations

  • Authors: Ka-Hei Law, Karl D. Gordon, and Karl A. Misselt

2018 The Astrophysical Journal Supplement Series 236 32.

  • Provider: AAS Journals

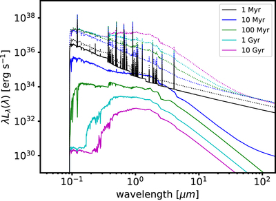
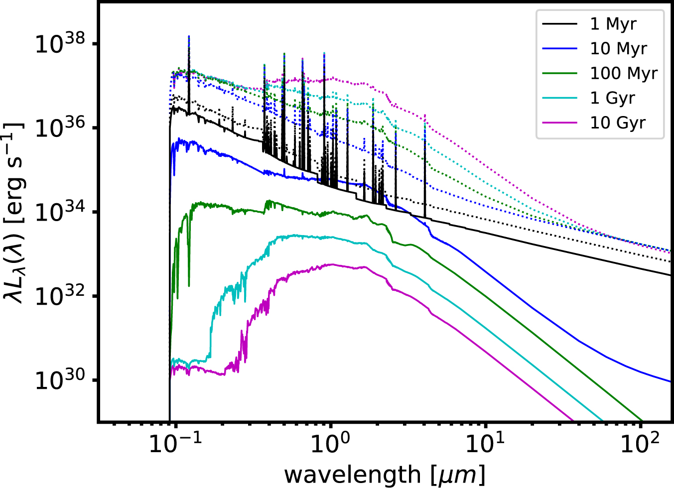
Caption: Figure 3.

Stellar and gas emission spectra generated by stellar population model PEGASE. The solid lines show models with instantaneous star formation (with decreasing luminosity as age increases), while the dotted lines show models with constant star formation (with increasing luminosity as age increases). Here we normalize the instantaneous star formation models to ﹩1\,{M}_{\odot }﹩ and constant star formation models to ﹩1\,{M}_{\odot }/\mathrm{Myr}﹩. These models use solar metallicity and have gas emission (continuum and lines) added.

Other Images in This Article
Copyright and Terms & Conditions