Image Details

Choose export citation format:

Waiting Time Distribution of Solar Flares from a Global Perspective

  • Authors: Yue Zhang, Rui Liu, Junyan Liu, Dong Wang

Yue Zhang et al 2026 The Astrophysical Journal Letters 1001 .

  • Provider: AAS Journals

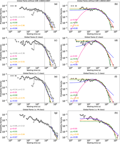
Caption: Figure 3.

WTDs of global flares. The format is the same as Figure 2. For the WTD in the same row, left (right) panel shows the fitting of the tail portion (overall profile). In the left column, the corresponding WTD of near-side flares observed by GOES is shown in gray; its tail, starting from the same ﹩{x}_{{\rm{\min }}}﹩ as that of the global WTD, is fitted by a power law, and the resultant p-value and power-law index are annotated.

Other Images in This Article
Copyright and Terms & Conditions

Additional terms of reuse