Image Details

Choose export citation format:

Tracing Star Formation in Quasar Hosts via [O II] λ3727: A Kinematically Consistent Approach

  • Authors: Liang Wu, Jun-Xian Wang, Luis C. Ho, Junfeng Wang, Zhicheng He

Liang Wu et al 2026 The Astrophysical Journal Letters 1001 .

  • Provider: AAS Journals

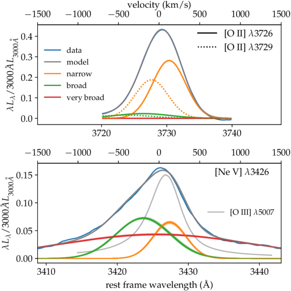
Caption: Figure 2.

Kinematically consistent decomposition of [O II] and [Ne V] emission lines for the full sample. Both panels show dual x-axes in wavelength and velocity, with the velocity axes aligned for direct comparison. The observed profile is shown in blue, and each line is decomposed into “narrow” (orange), “broad” (green), and “very broad” (red) Gaussian components, whose widths and velocity shifts are tied between [O II] and [Ne V]. In the [O II] doublet (upper panel), the λ3726 and λ3729 lines are indicated by dotted and solid curves, respectively. For each component and for the total model (gray), 100 randomly drawn MCMC posterior samples are overplotted as semitransparent curves to illustrate the fitting uncertainties. In the lower panel, a scaled [O III] emission-line profile (light gray) is overplotted as a reference (see Section 5.1).

Other Images in This Article
Copyright and Terms & Conditions

Additional terms of reuse