Image Details

Choose export citation format:

Detection of Oscillations in a Type I X-Ray Burst of 4U 0614+091 with SVOM/ECLAIRs

  • Authors: Sébastien Le Stum, Floriane Cangemi, Alexis Coleiro, Sébastien Guillot, Jérôme Chenevez, Philippe Bacon, Nicolas Bellemont, Laurent Bouchet, Tristan Bouchet, Cécile Cavet, Bertrand Cordier, Antoine Foisseau, Olivier Godet, Andrea Goldwurm, Xuhui Han, Cyril Lachaud, Zhaosheng Li, Huali Li, Yulei Qiu, Jérôme Rodriguez, Wenjun Tan, Lian Tao, Lauryne Verwaerde, Chenwei Wang, Jing Wang, Jianyan Wei, Chao Wu, Wenjin Xie, Liping Xin, Shaolin Xiong, Shuangnan Zhang, Shijie Zheng

Sébastien Le Stum et al 2026 The Astrophysical Journal Letters 997 .

  • Provider: AAS Journals

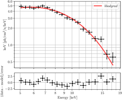
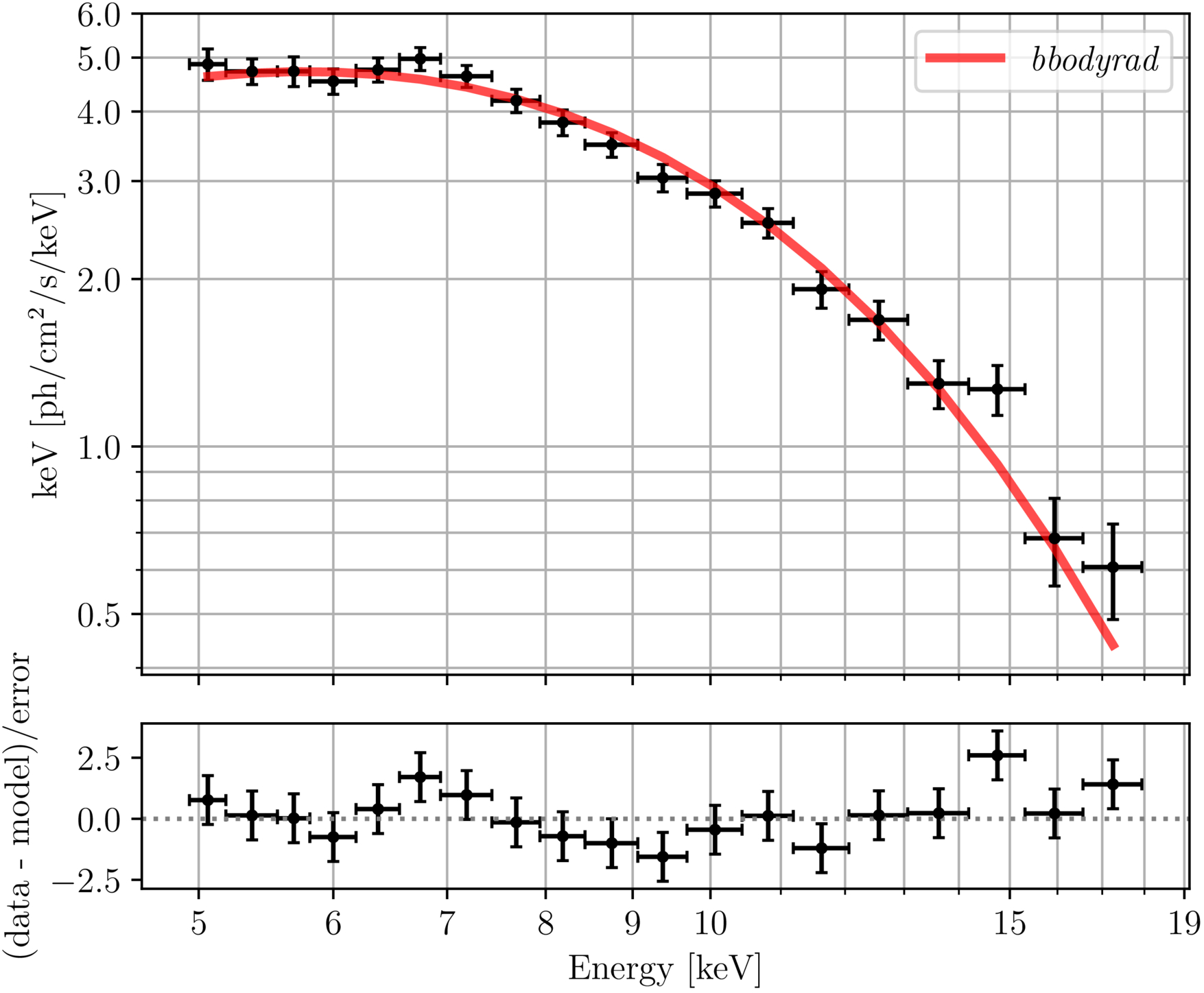
Caption: Figure 1.

Time-integrated spectrum between T = T0 and T = T0 + 25 s, with red representing a fitted bbodyrad model with kT = 2.04 keV.

Other Images in This Article
Copyright and Terms & Conditions

Additional terms of reuse