Image Details

Choose export citation format:

The Formation Rate and Luminosity Function of Fast X-Ray Transients from Einstein Probe

  • Authors: Yizhou Guo, Houdun Zeng, Junjie Wei, Hao Zhou, Zhiping Jin, Xuefeng Wu, Daming Wei

Yizhou Guo et al 2025 The Astrophysical Journal Letters 995 .

  • Provider: AAS Journals

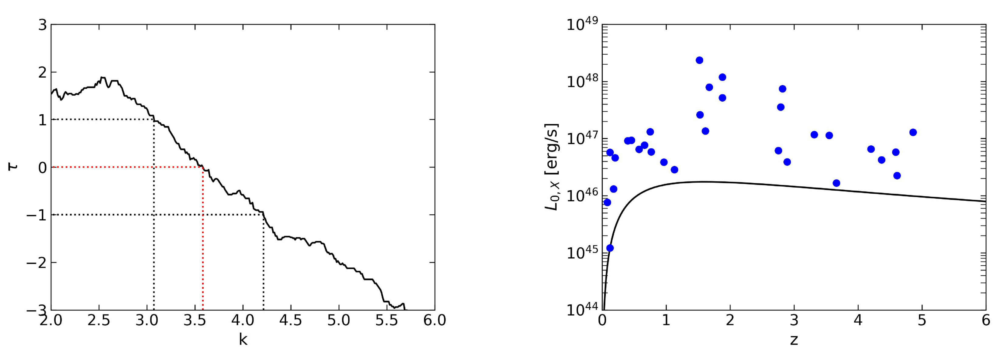
Caption: Figure 2.

Left: value of test statistic τ as a function of k. The red dotted line is the best fit for τ = 0, and the black dotted lines represent 1σ errors. The optimal value is ﹩k=3.5{8}_{-0.51}^{+0.63}﹩ at a 1σ confidence level. Right: nonevolving luminosity L0,X = LX/(1 + z)3.58 of 31 FXTs. The black solid line represents the observational limit considering the impact of k.

Other Images in This Article
Copyright and Terms & Conditions

Additional terms of reuse