Image Details

Choose export citation format:

Dipole Polarizability of Finite Nuclei as a Probe of Neutron Stars

  • Authors: P.S. Koliogiannis, E. Yüksel, T. Ghosh, N. Paar

P.S. Koliogiannis et al 2026 The Astrophysical Journal Letters 996 .

  • Provider: AAS Journals

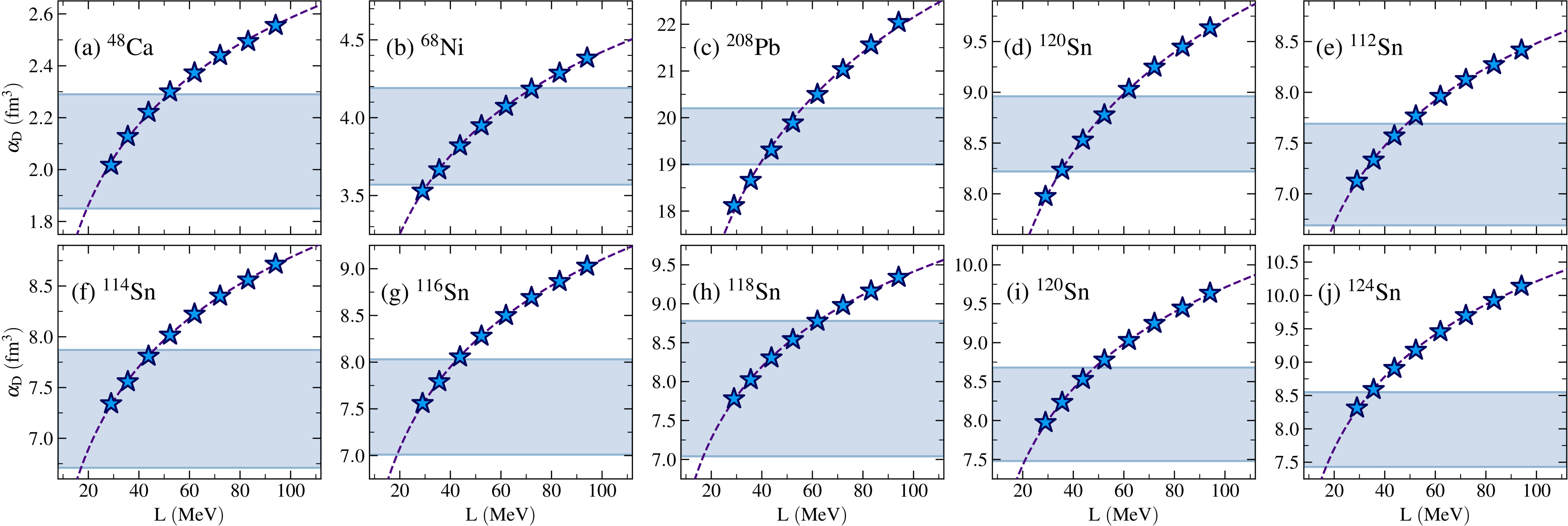
Caption: Figure 3.

The electric dipole polarizability αD as a function of the slope of the symmetry energy L for the DD–PC family of functionals and various isotopes. The horizontal shaded regions represent experimental values on αD: (a) 48Ca (J. Birkhan et al. 2017), (b) 68Ni (D. M. Rossi et al. 2013), (c) 208Pb (A. Tamii et al. 2011; X. Roca-Maza et al. 2015), (d) 120Sn (T. Hashimoto et al. 2015; X. Roca-Maza et al. 2015), and (e)–(j) 112−124Sn (S. Bassauer et al. 2020).

Other Images in This Article
Copyright and Terms & Conditions

Additional terms of reuse