Image Details

Choose export citation format:

Dipole Polarizability of Finite Nuclei as a Probe of Neutron Stars

  • Authors: P.S. Koliogiannis, E. Yüksel, T. Ghosh, N. Paar

P.S. Koliogiannis et al 2026 The Astrophysical Journal Letters 996 .

  • Provider: AAS Journals

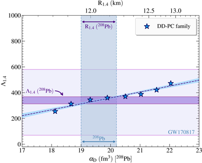
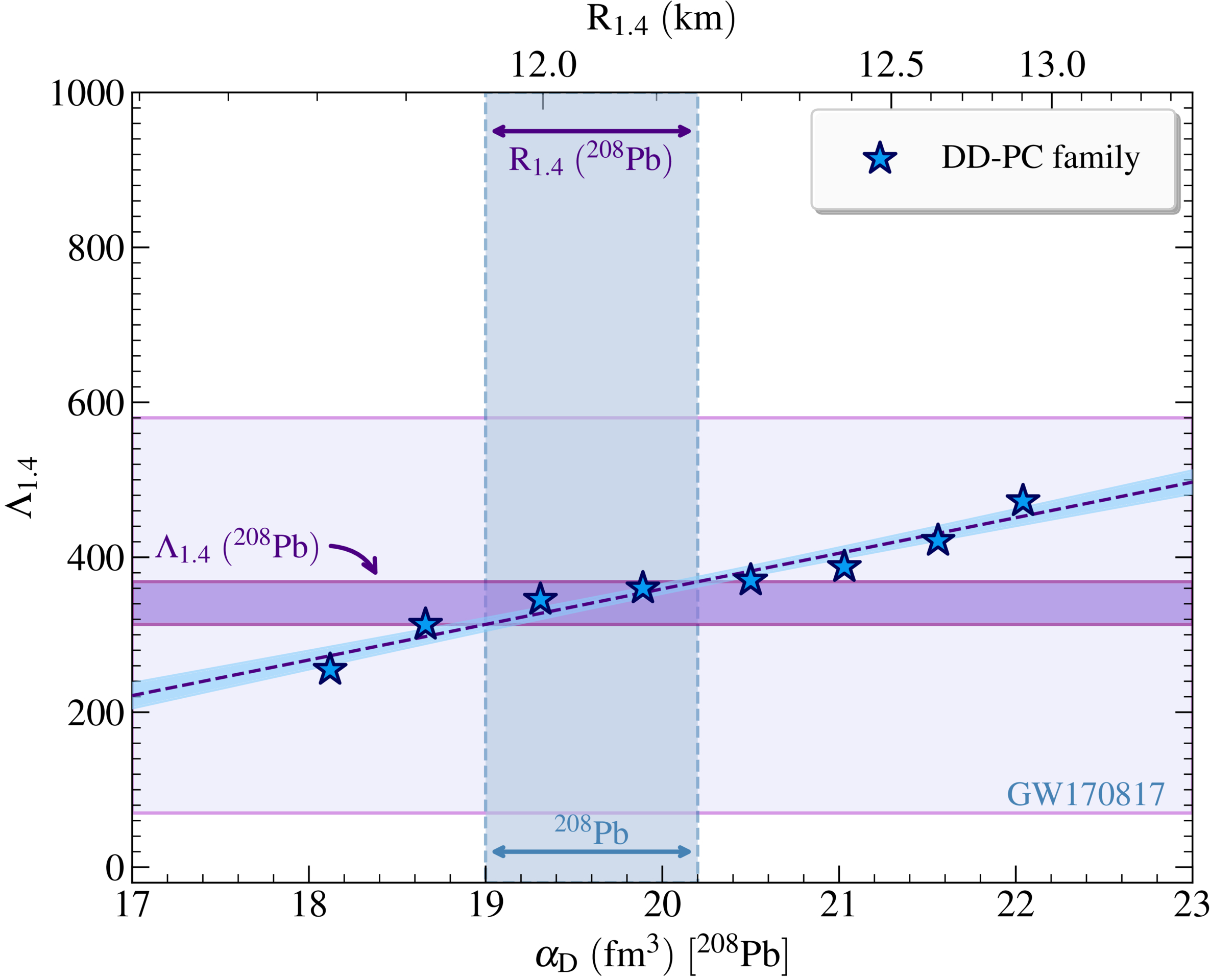
Caption: Figure 2.

The dimensionless tidal deformability of a 1.4 M neutron star Λ1.4 as a function of the electric dipole polarizability αD of 208Pb and the corresponding neutron star radius for DD–PC EOSs. The horizontal shaded regions mark the limits derived from GW170817 event (B. P. Abbott et al. 2019) and those obtained in the present study, while the vertical band denotes the experimental result for αD[208Pb] and the corresponding neutron star radius inferred in this work.

Other Images in This Article
Copyright and Terms & Conditions

Additional terms of reuse