Image Details

Choose export citation format:

Dynamical Simulation of the Interstellar Comet 3I/ATLAS

  • Authors: Goldy Ahuja, Shashikiran Ganesh

Goldy Ahuja and Shashikiran Ganesh 2025 The Astrophysical Journal Letters 995 .

  • Provider: AAS Journals

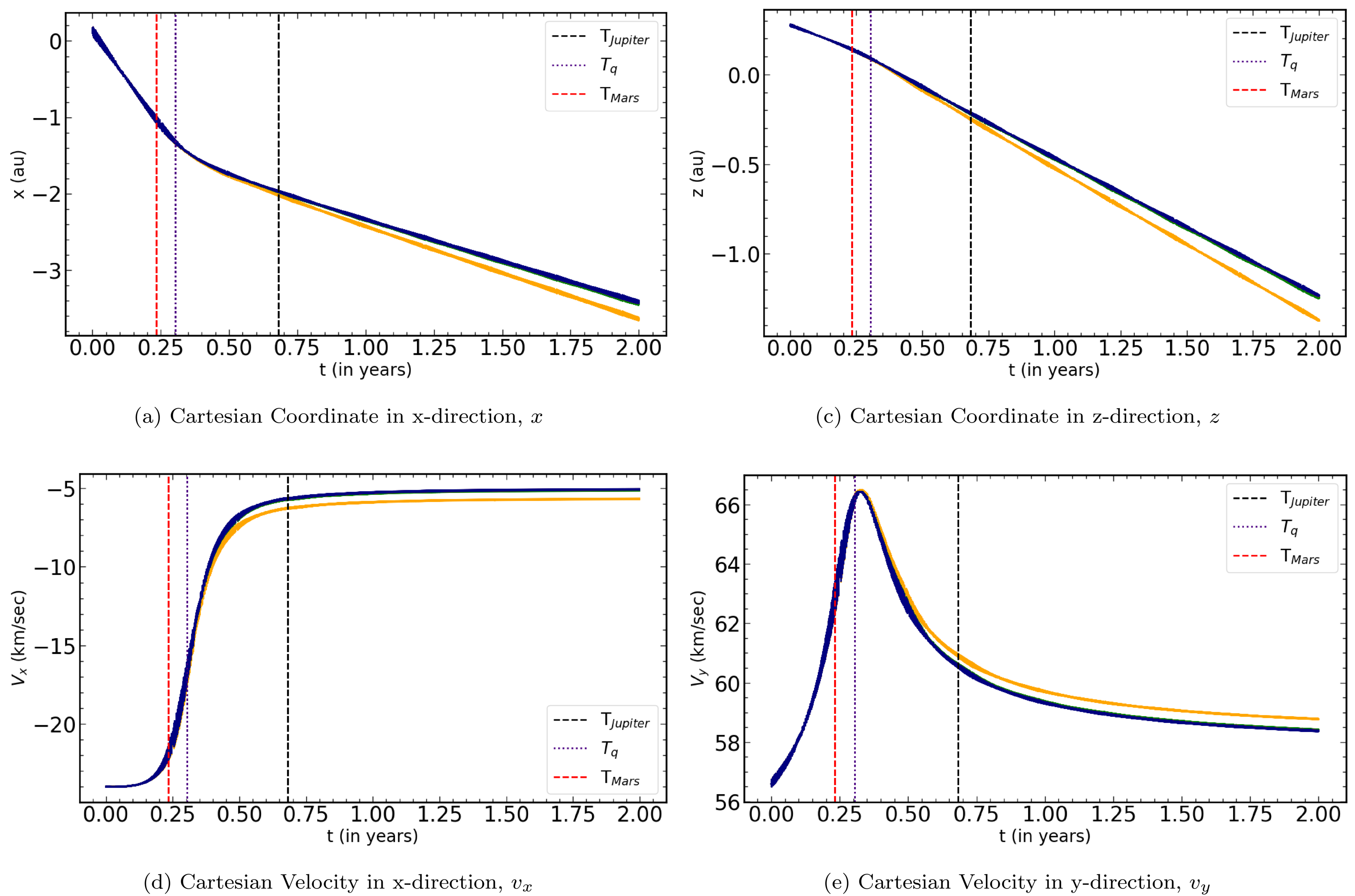
Caption: Figure 6.

Variation of the Cartesian coordinates, x, and z, and the Cartesian velocities, vx, and vy. In each panel, the orange curves represent nongravitational accelerations of 10−5 au day−2, and the green, brown, and navy-blue curves represent nongravitational accelerations of 10−6, 10−7, and 10−8 au day−2. Here, we plotted the behavior of 50 clones to keep the image size manageable.

Other Images in This Article
Copyright and Terms & Conditions

Additional terms of reuse