Image Details

Choose export citation format:

Acceleration of Heavy Ions at Nonrelativistic Collisionless Shocks

  • Authors: Damiano Caprioli, Luca Orusa, Miha Cernetic, Colby C. Haggerty, Bricker Ostler

Damiano Caprioli et al 2025 The Astrophysical Journal Letters 993 .

  • Provider: AAS Journals

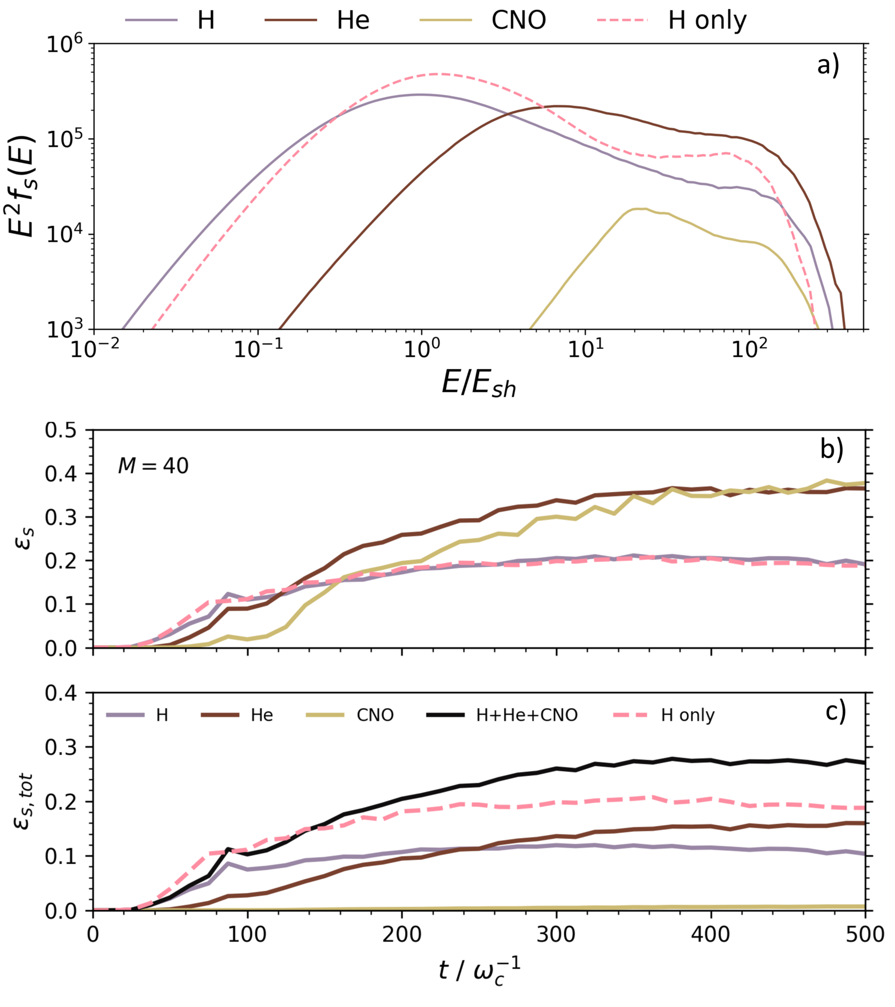
Caption: Figure 1.

(a) Downstream energy spectra from M = 40 shock simulations with and without heavy ions at time ﹩t=500\,{\omega }_{c}^{-1}﹩. (b) and (c) Injection efficiency εs and total injection efficiency εs,tot as a function of time.

Other Images in This Article
Copyright and Terms & Conditions

Additional terms of reuse