Image Details

Choose export citation format:

Outflow–Cloud Interaction as the Possible Origin of the Peculiar Radio Emission in the Tidal Disruption Event AT2018cqh

  • Authors: Lei Yang, Xinwen Shu, Guobin Mou, Yongquan Xue, Luming Sun, Fabao Zhang, Zhumao Zhang, Yibo Wang, Tao Wu, Ning Jiang, Hucheng Ding, Tinggui Wang

Lei Yang et al 2025 The Astrophysical Journal Letters 993 .

  • Provider: AAS Journals

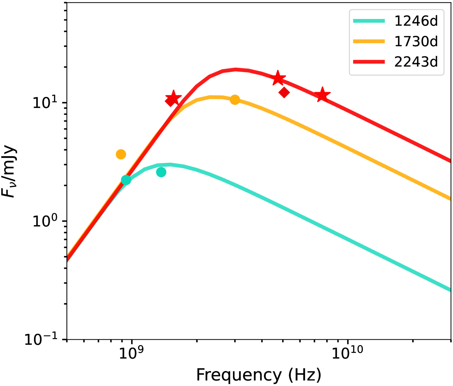
Caption: Figure 6.

Hydrodynamic modeling of the radio SEDs of AT2018cqh. The cyan, orange, and red lines correspond to the model SEDs at δt = 1246, 1730, and 2243 days in the observer’s frame, respectively. The filled circles, stars, and diamonds represent the observed flux densities, as shown in Figure 3.

Other Images in This Article
Copyright and Terms & Conditions

Additional terms of reuse