Image Details

Choose export citation format:

True Polar Wander of Lava Worlds

  • Authors: Wanying Kang, Francis Nimmo, Feng Ding

Wanying Kang et al 2023 The Astrophysical Journal Letters 949 .

  • Provider: AAS Journals

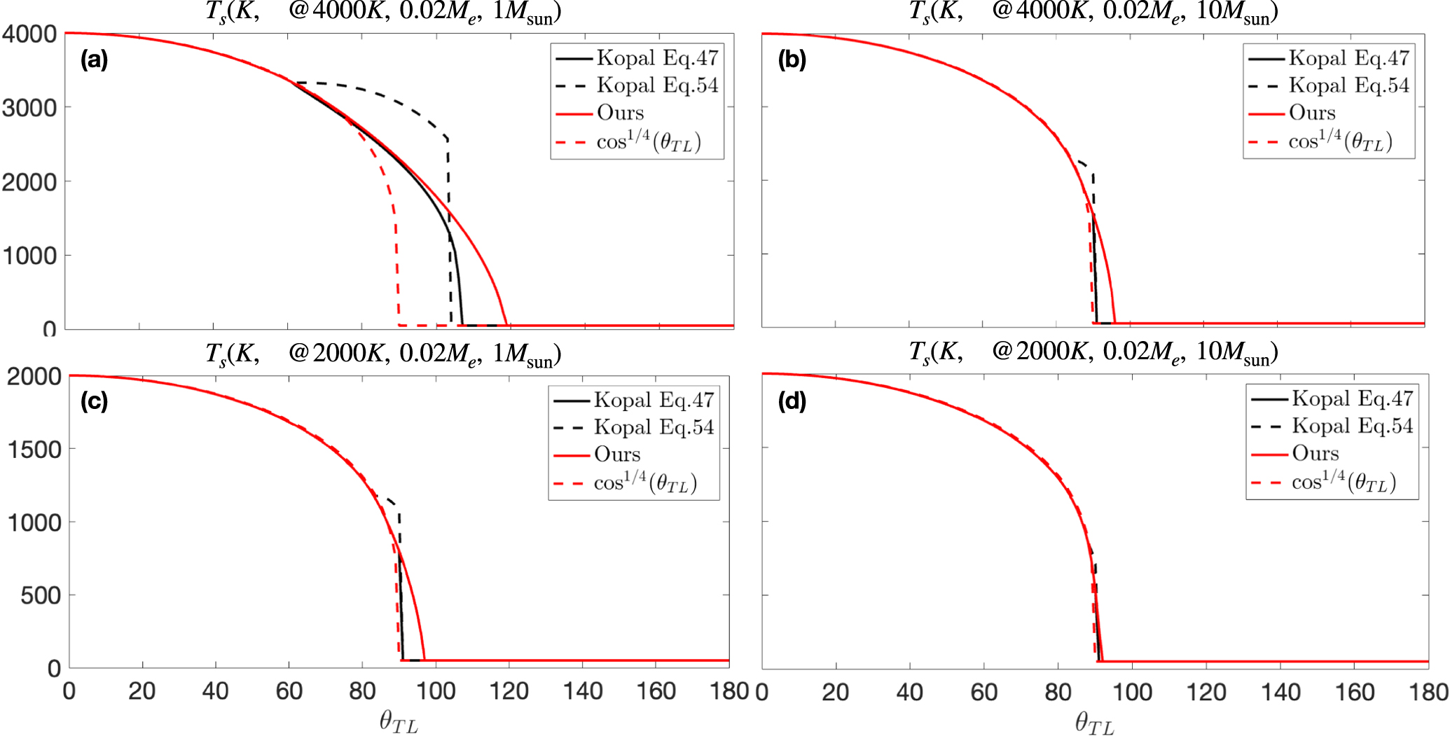
Caption: Figure A1.

Radiative equilibrium surface temperature profiles assuming various substellar temperatures and stellar masses.

Other Images in This Article
Copyright and Terms & Conditions

Additional terms of reuse