Image Details

Choose export citation format:

White Dwarf—Red Giant Star Binaries as Type Ia Supernova Progenitors: With and without Magnetic Confinement

  • Authors: Iminhaji Ablimit, Philipp Podsiadlowski, Rosanne Di Stefano, Saul A. Rappaport, James Wicker

Iminhaji Ablimit et al 2022 The Astrophysical Journal Letters 941 .

  • Provider: AAS Journals

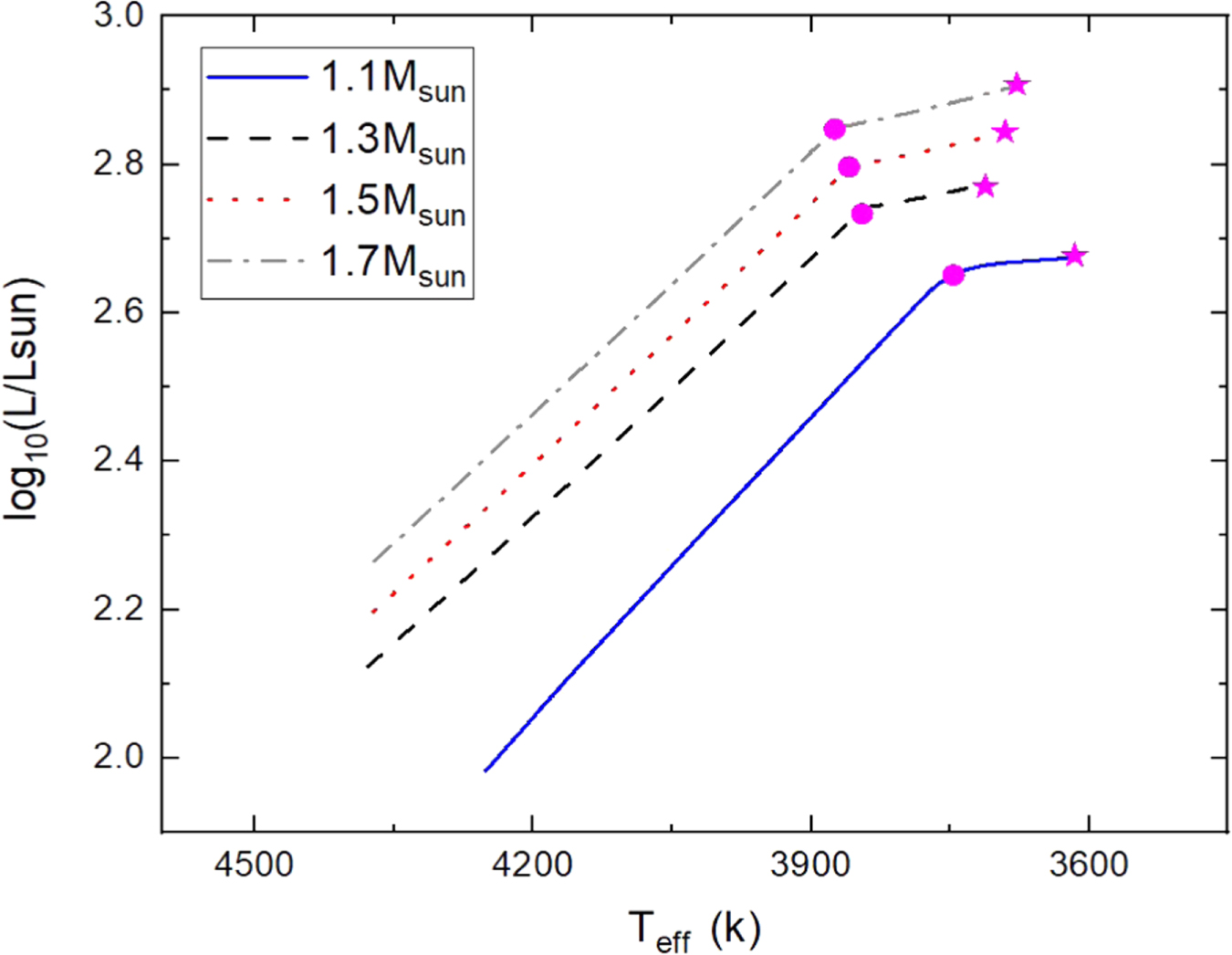
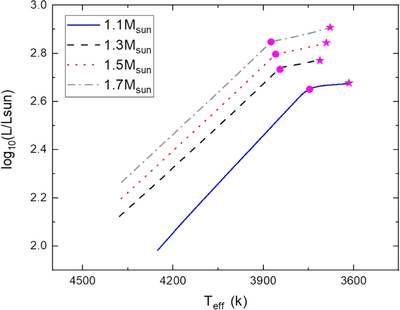
Caption: Figure 1.

Hertzsprung–Russell diagram for red giant donors with different masses in nonmagnetized CO WD binaries. Red circles indicate the location where the WDs starts to accrete matter, and red stars the location when SNe Ia occur.

Other Images in This Article
Copyright and Terms & Conditions

Additional terms of reuse