Image Details

Choose export citation format:

No Evidence that the Majority of Black Holes in Binaries Have Zero Spin

  • Authors: Thomas A. Callister, Simona J. Miller, Katerina Chatziioannou, Will M. Farr

Thomas A. Callister et al 2022 The Astrophysical Journal Letters 937 .

  • Provider: AAS Journals

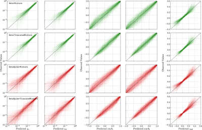
Caption: Figure 9.

As in Figure 8 above, but for the component spin models studied in Section 5. We explore each model’s ability to predict the observed spin magnitudes (first and second columns), spin tilts (third and fourth columns), and effective spins (fifth column). Again, we see no clear departures from the diagonal, such that none of the four models can be rejected as a poor descriptor of our data. The Beta+Mixture and BetaSpike+Mixture models may exhibit slight tension with observation, possibly overpredicting the occurrence of very negative ﹩\cos {\theta }_{1}﹩ and χ eff, but additional data are required to confirm the significance of this tendency.

Other Images in This Article

Show More

Copyright and Terms & Conditions

Additional terms of reuse