Image Details

Choose export citation format:

Constraining the Neutron Star Mass–Radius Relation and Dense Matter Equation of State with NICER. II. Emission from Hot Spots on a Rapidly Rotating Neutron Star

  • Authors: Slavko Bogdanov, Frederick K. Lamb, Simin Mahmoodifar, M. Coleman Miller, Sharon M. Morsink, Thomas E. Riley, Tod E. Strohmayer, Albert K. Tung, Anna L. Watts, Alexander J. Dittmann, Deepto Chakrabarty, Sebastien Guillot, Zaven Arzoumanian, and Keith C. Gendreau

2019 The Astrophysical Journal Letters 887 L26.

  • Provider: AAS Journals

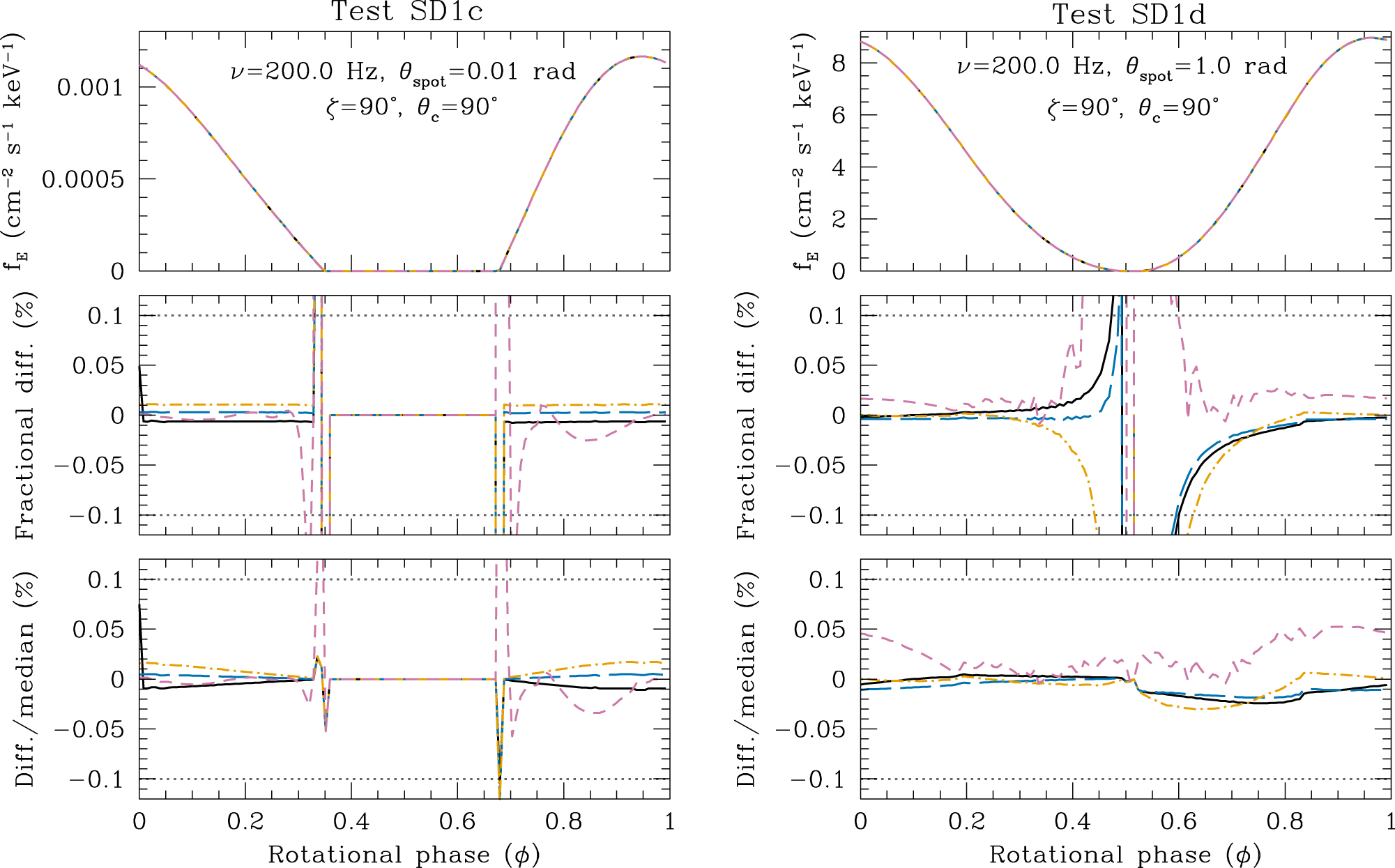
Caption: Figure 6.

Same as Figure 5 except for tests SD1c and SD1d, which consider more rapid rotation (ν = 200 Hz).

Other Images in This Article

Show More

Copyright and Terms & Conditions