Image Details

Choose export citation format:

Constraining the Neutron Star Mass–Radius Relation and Dense Matter Equation of State with NICER. II. Emission from Hot Spots on a Rapidly Rotating Neutron Star

  • Authors: Slavko Bogdanov, Frederick K. Lamb, Simin Mahmoodifar, M. Coleman Miller, Sharon M. Morsink, Thomas E. Riley, Tod E. Strohmayer, Albert K. Tung, Anna L. Watts, Alexander J. Dittmann, Deepto Chakrabarty, Sebastien Guillot, Zaven Arzoumanian, and Keith C. Gendreau

2019 The Astrophysical Journal Letters 887 L26.

  • Provider: AAS Journals

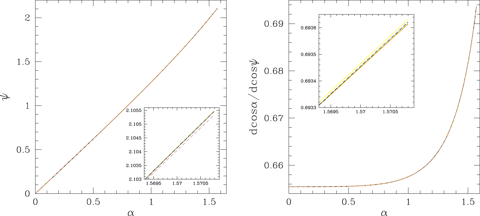
Caption: Figure 3.

Comparison of the calculated light ray deflection angle from Equation (16) (left panel) and the lensing factor d cos α/d cos ψ that appears in Equation (20) (right panel) as a function of the light ray emission angle α. The insets show a zoom-in around α = π/2, where the largest discrepancies between the codes are apparent. The line colors correspond to the results generated by the CU (black), GSFC-M (orange), GSFC-S (blue), Alberta (purple), and IM (yellow) codes. The different curves are mostly indistinguishable because the agreement between the codes is excellent.

Other Images in This Article

Show More

Copyright and Terms & Conditions