Image Details

Choose export citation format:

Constraining the Neutron Star Mass–Radius Relation and Dense Matter Equation of State with NICER. II. Emission from Hot Spots on a Rapidly Rotating Neutron Star

  • Authors: Slavko Bogdanov, Frederick K. Lamb, Simin Mahmoodifar, M. Coleman Miller, Sharon M. Morsink, Thomas E. Riley, Tod E. Strohmayer, Albert K. Tung, Anna L. Watts, Alexander J. Dittmann, Deepto Chakrabarty, Sebastien Guillot, Zaven Arzoumanian, and Keith C. Gendreau

2019 The Astrophysical Journal Letters 887 L26.

  • Provider: AAS Journals

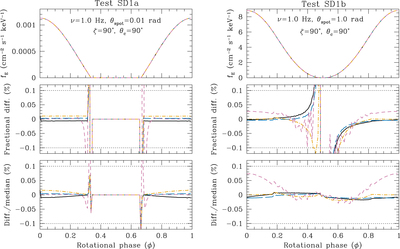
Caption: Figure 5.

Comparisons of the synthetic pulse waveforms from Tests SD1a and SD1b, the slowly spinning (1 Hz) variations of the SD1 tests (see Table 1 for the assumed parameters). The point-like (﹩{\theta }_{\mathrm{spot}}=0.01﹩ rad) and large spot (θspot = 1 rad) are shown on the left and right, respectively. The top panel shows the pulse waveforms. The middle panel shows the fractional difference between the CU (black), GSFC-M (orange), GSFC-S (blue), and Alberta (purple) photon fluxes compared to the IM flux at each phase bin, expressed as a percentage. In the bottom panel, the IM flux is subtracted from the other fluxes and the result is divided by the median IM flux over all phases. The two horizontal dotted lines mark the target ±0.1% measurement precision. Except near the spot eclipse ingress and egress, where the flux is two orders of magnitude smaller than it is at the peak, the agreement between the codes is significantly better than the target precision.

Other Images in This Article

Show More

Copyright and Terms & Conditions