Image Details

Choose export citation format:

Smoothing of MHD Shocks in Mode Conversion

  • Authors: Jamon D. Pennicott, and Paul S. Cally

2019 The Astrophysical Journal Letters 881 L21.

  • Provider: AAS Journals

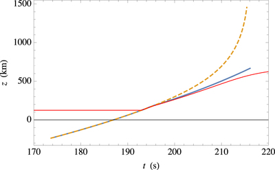
Caption: Figure 5.

Heights in time of the “shock” seen in v (blue curve; the shock is actually smoothed for a while after meeting the equipartition level) and the shock in v (dashed orange curve) as well as the position of the a = c equipartition level (red), for the case of the 30° inclined magnetic field. Clearly, the equipartition level is advected with the slow shock for several seconds.

Other Images in This Article
Copyright and Terms & Conditions