Image Details

Choose export citation format:

Smoothing of MHD Shocks in Mode Conversion

  • Authors: Jamon D. Pennicott, and Paul S. Cally

2019 The Astrophysical Journal Letters 881 L21.

  • Provider: AAS Journals

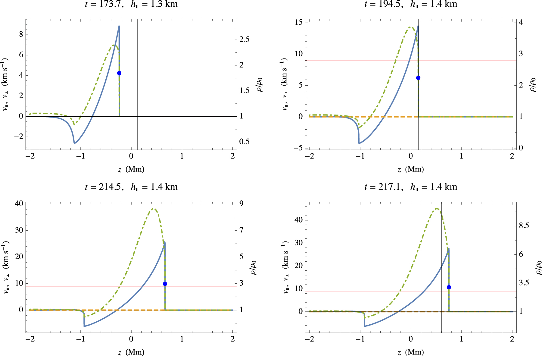
Caption: Figure 1.

θ = 0°: the blue solid line, orange dashed line (zero in this case) and green dotted–dashed line correspond to v, vand ρ/ρ0, respectively. The shock front is formed and travels through the a = c layer unaltered. The solid vertical line is where a = c, which moves in response to the incident wave. The pink horizontal line is the equilibrium sound speed. The blue dot indicates the steepest point in the acoustic shock. The top-right panel indicates that the shock reaches the conversion layer with almost-maximal density contrast (X = 4).

Other Images in This Article
Copyright and Terms & Conditions