Image Details

Choose export citation format:

Smoothing of MHD Shocks in Mode Conversion

  • Authors: Jamon D. Pennicott, and Paul S. Cally

2019 The Astrophysical Journal Letters 881 L21.

  • Provider: AAS Journals

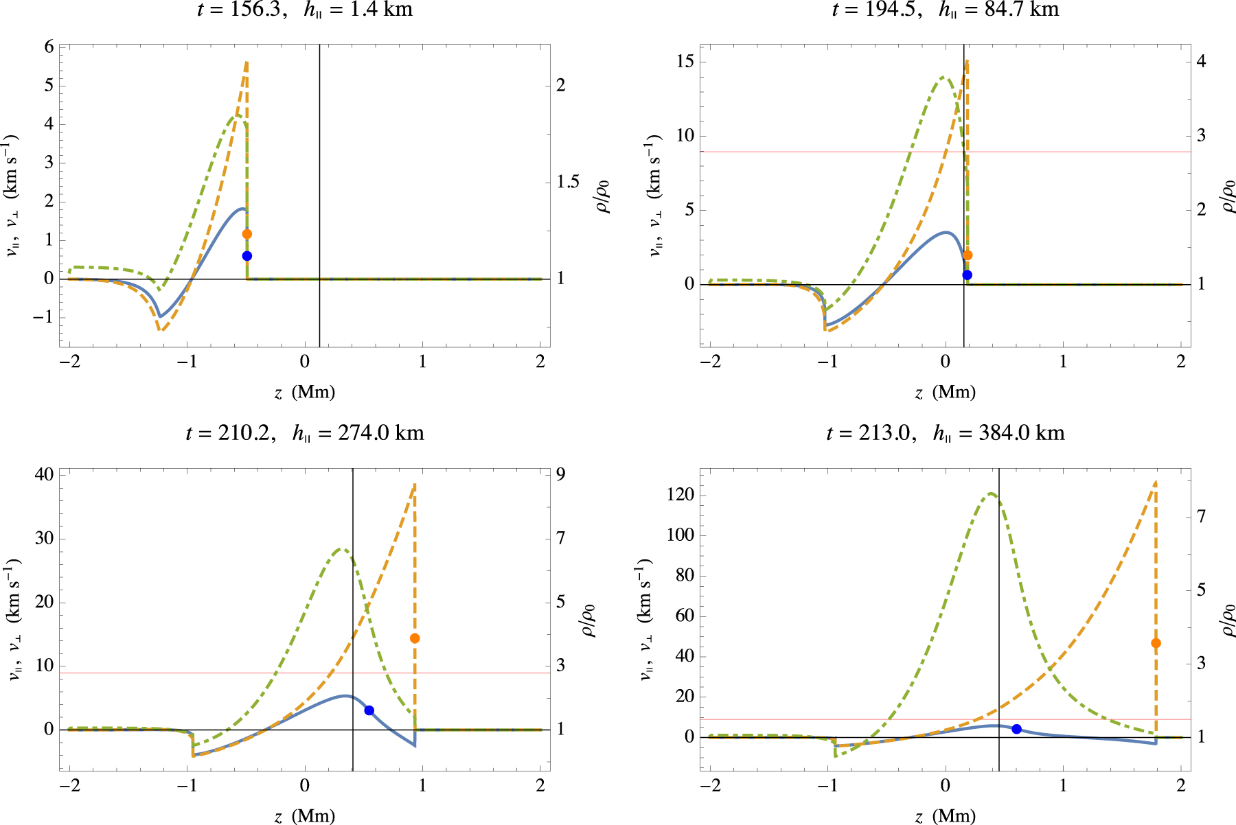
Caption: Figure 4.

θ = 60°: heavy smoothing of the slow shock through a = c. The fast shock remains sharp and propagates freely again. The transmitted slow wave is subsonic and much too weak to re-shock before the fast shock reaches the top of the computational box.

Other Images in This Article
Copyright and Terms & Conditions