Image Details

Choose export citation format:

Discovery of Soft X-Ray Pulsations from PSR J1231–1411 using NICER

  • Authors: Paul S. Ray, Sebastien Guillot, Scott M. Ransom, Matthew Kerr, Slavko Bogdanov, Alice K. Harding, Michael T. Wolff, Christian Malacaria, Keith C. Gendreau, Zaven Arzoumanian, Craig Markwardt, Yang Soong, and John P. Doty

2019 The Astrophysical Journal Letters 878 L22.

  • Provider: AAS Journals

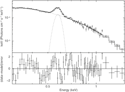
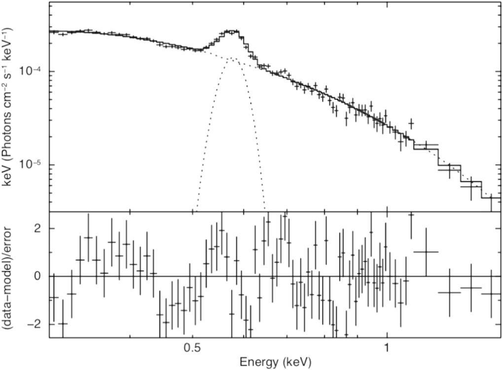
Caption: Figure 7.

NICER unfolded spectrum of PSR J1231−1411, fitted with the nsatmos model, where a Gaussian component has also been added, as in Figure 6. The bottom panel shows the residuals.

Other Images in This Article
Copyright and Terms & Conditions