Image Details

Choose export citation format:

Discovery of Soft X-Ray Pulsations from PSR J1231–1411 using NICER

  • Authors: Paul S. Ray, Sebastien Guillot, Scott M. Ransom, Matthew Kerr, Slavko Bogdanov, Alice K. Harding, Michael T. Wolff, Christian Malacaria, Keith C. Gendreau, Zaven Arzoumanian, Craig Markwardt, Yang Soong, and John P. Doty

2019 The Astrophysical Journal Letters 878 L22.

  • Provider: AAS Journals

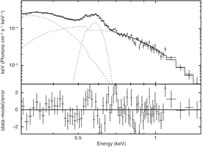
Caption: Figure 6.

NICER unfolded spectrum of PSR J1231–1411, with the double-blackbody model and including a Gaussian emission line at 0.575 keV. The dotted lines indicate the individual components (cold blackbody dominating at low energies, and the hot blackbody dominating at high energies). The bottom panel shows the residuals.

Other Images in This Article
Copyright and Terms & Conditions