Image Details

Choose export citation format:

Discovery of Soft X-Ray Pulsations from PSR J1231–1411 using NICER

  • Authors: Paul S. Ray, Sebastien Guillot, Scott M. Ransom, Matthew Kerr, Slavko Bogdanov, Alice K. Harding, Michael T. Wolff, Christian Malacaria, Keith C. Gendreau, Zaven Arzoumanian, Craig Markwardt, Yang Soong, and John P. Doty

2019 The Astrophysical Journal Letters 878 L22.

  • Provider: AAS Journals

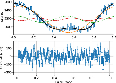
Caption: Figure 4.

NICER pulse profile (0.35–1.5 keV; 200 phase bins) decomposed into three harmonically related sinusoids. The solid black curve is the sum of the three dashed components. The bottom panel shows the residuals to the full fit.

Other Images in This Article
Copyright and Terms & Conditions