Image Details

Choose export citation format:

Early Soft X-Ray to UV Emission from Double Neutron Star Mergers: Implications from the Long-term Observations of GW170817

  • Authors: Xiang-Yu Wang, and Zhi-Qiu Huang

2018 The Astrophysical Journal Letters 853 L13.

  • Provider: AAS Journals

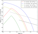
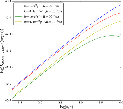
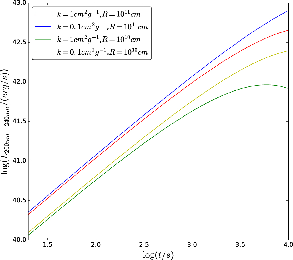
Caption: Figure 2.

Light curves of the UV emission in the range of 200–240 nm from the cooling of the cocoon. The parameter values of the cocoon used in the calculation are the same as those used in Figure 1. Note that the cocoon emission lasts only until the lowest velocity shell with ﹩\gamma \beta \gt 1﹩ becomes transparent. See Equation (15) in the text for the estimate of this time.

Other Images in This Article
Copyright and Terms & Conditions