Image Details

Choose export citation format:

Early Soft X-Ray to UV Emission from Double Neutron Star Mergers: Implications from the Long-term Observations of GW170817

  • Authors: Xiang-Yu Wang, and Zhi-Qiu Huang

2018 The Astrophysical Journal Letters 853 L13.

  • Provider: AAS Journals

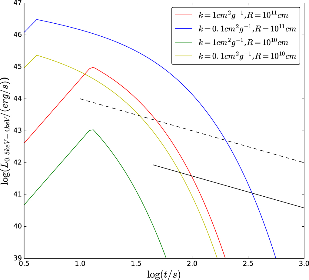
Caption: Figure 1.

Light curves of soft X-ray emission in 0.5–4 keV from the cooling of a cocoon, which has a velocity profile of ﹩{E}_{k}{(\gt \gamma \beta )=2\times {10}^{51}\mathrm{erg}(\gamma \beta )}^{-5}﹩ with a maximum Lorentz factor of ﹩{\gamma }_{M}=3.5﹩. The black dashed line represents the sensitivity curve of the Einstein Probe telescope for a source at the same distance of GW170817 (i.e., ﹩d=40\,\mathrm{Mpc}﹩). The black solid straight line represents the sensitivity curve of Swift/XRT for a source at ﹩d=40\,\mathrm{Mpc}﹩. The start time of XRT observation is taken to be 45 s (the average slew time for XRT) after a possible BAT trigger (note, however, that GRB 170817A did not trigger Swift/BAT).

Other Images in This Article
Copyright and Terms & Conditions