Image Details

Choose export citation format:

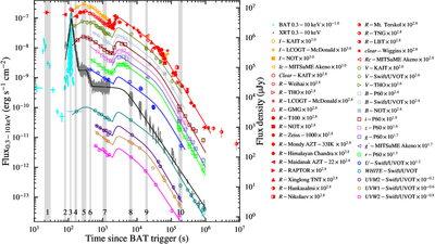
Signature of a Magnetar Central Engine from the Multiband Afterglow of GRB 151027A Associated with a Supernova

  • Authors: Liang-Jun Chen, Xiang-Gao Wang, Hou-Jun Lü, WeiKang Zheng, Daniel A. Perley, Da-Bin Lin, Yihan Wang, De-Feng Kong, You-Dong Hu, Jie Xia, S. Bradley Cenko, Hong-Bang Liu, Fei Xie, Jing Lü, En-Wei Liang, Bing Zhang, Alexei V. Filippenko

Liang-Jun Chen et al 2026 The Astrophysical Journal 1002 .

  • Provider: AAS Journals

Caption: Figure 1.

Multiwavelength light curves of GRB 151027A. The gray shaded regions indicate the time intervals used for spectral analysis. The solid curves show best-fit empirical functions to the temporal evolution.

Other Images in This Article
Copyright and Terms & Conditions

Additional terms of reuse