Image Details

Choose export citation format:

Modeling Binary Lenses and Sources with the BAGLE Python Package

  • Authors: T. Dex Bhadra, J. R. Lu, Natasha S. Abrams, Andrew Scharf, Edward Broadberry, Casey Lam, Macy J. Huston

T. Dex Bhadra et al 2026 The Astrophysical Journal 1002 .

  • Provider: AAS Journals

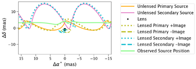
Caption: Figure 4.

Source and lens trajectories for a simulated binary-source point-lens microlensing event involving Keplerian orbits. We present the unlensed sources (solid lines) and the lensed images (dashed + dotted lines). The green line is the flux-weighted average of lensed source positions, as observed on the sky. Note that magS,pri = 16 and magS,sec = 17. This event has the following Keplerian elements: ωpri = 30°, Ωsec = 10°, i = 90°, e = 0.6, P = 1000 days, pri = 3 mas, and sec = 8 mas. The Einstein radius is 2.9 mas. We simulate this event over tE = 208.47 days. The lens (8 M) is held stationary.

Other Images in This Article

Show More

Copyright and Terms & Conditions

Additional terms of reuse