Image Details

Choose export citation format:

CO and N2 Produced from H2O, CO2, and NH3 Cometary Ice Analogs

  • Authors: Alexandra McKinnon, Alexia Simon, Michelle R. Brann, Elettra L. Piacentino, Karin I. Öberg, Mahesh Rajappan

Alexandra McKinnon et al 2026 The Astrophysical Journal 1001 .

  • Provider: AAS Journals

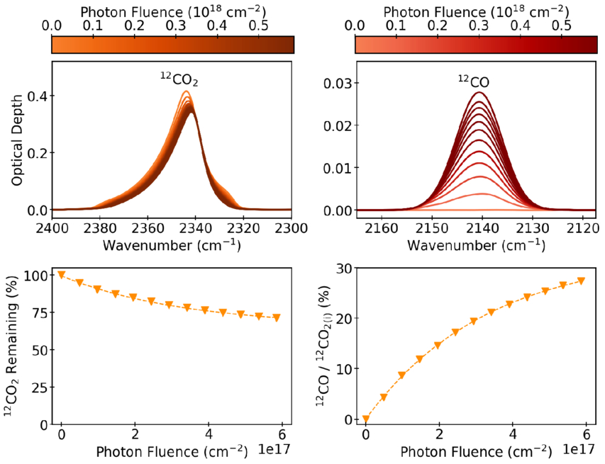
Caption: Figure 9.

Top: the change in the spectral features throughout irradiation of a 12CO2 undiluted ice. Bottom: the 12CO2 destruction (left) and CO formation (right) throughout irradiation of a 12CO2 undiluted ice.

Other Images in This Article

Show More

Copyright and Terms & Conditions

Additional terms of reuse