Image Details

Choose export citation format:

CO and N2 Produced from H2O, CO2, and NH3 Cometary Ice Analogs

  • Authors: Alexandra McKinnon, Alexia Simon, Michelle R. Brann, Elettra L. Piacentino, Karin I. Öberg, Mahesh Rajappan

Alexandra McKinnon et al 2026 The Astrophysical Journal 1001 .

  • Provider: AAS Journals

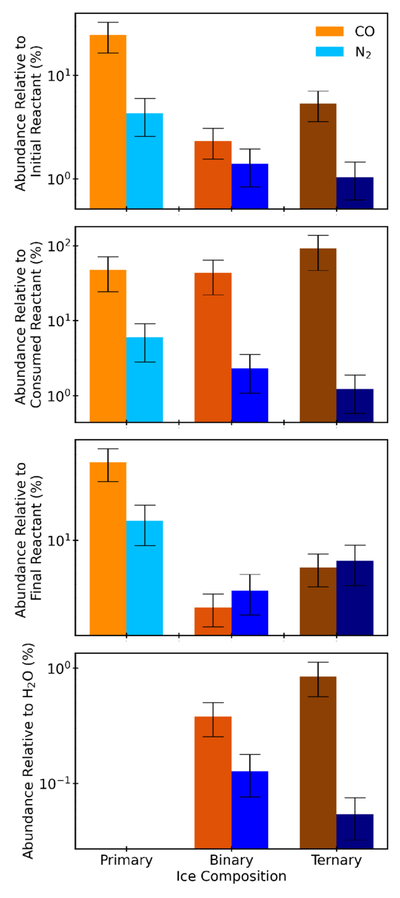
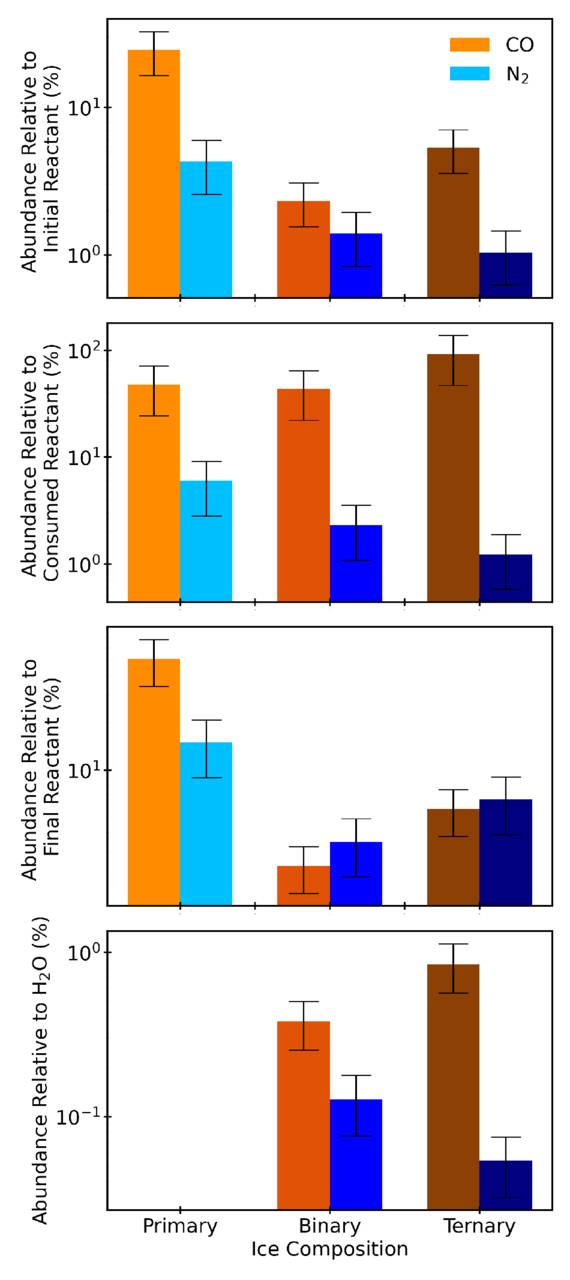
Caption: Figure 4.

A summary of the CO and N2 formed following irradiation of various ices at 10 K. The initial reactant for CO is the number of CO2 monolayers before irradiation, and the initial reactant for N2 is the number of NH3 monolayers before irradiation. The panels show the hypervolatile yield relative to the initial CO2 and NH3 abundance (the top panel), to the consumed CO2 and NH3 (the second panel), to the final CO2 and NH3 abundance (the third panel), and to the abundance of water in the ice (the bottom panel).

Other Images in This Article

Show More

Copyright and Terms & Conditions

Additional terms of reuse