Image Details

Choose export citation format:

A Detection of Circumgalactic Dust at Megaparsec Scales with Maximum Likelihood Estimation

  • Authors: Jacqueline E. McCleary, Eric M. Huff, James G. Bartlett, Brandon S. Hensley

Jacqueline E. McCleary et al 2026 The Astrophysical Journal 1000 .

  • Provider: AAS Journals

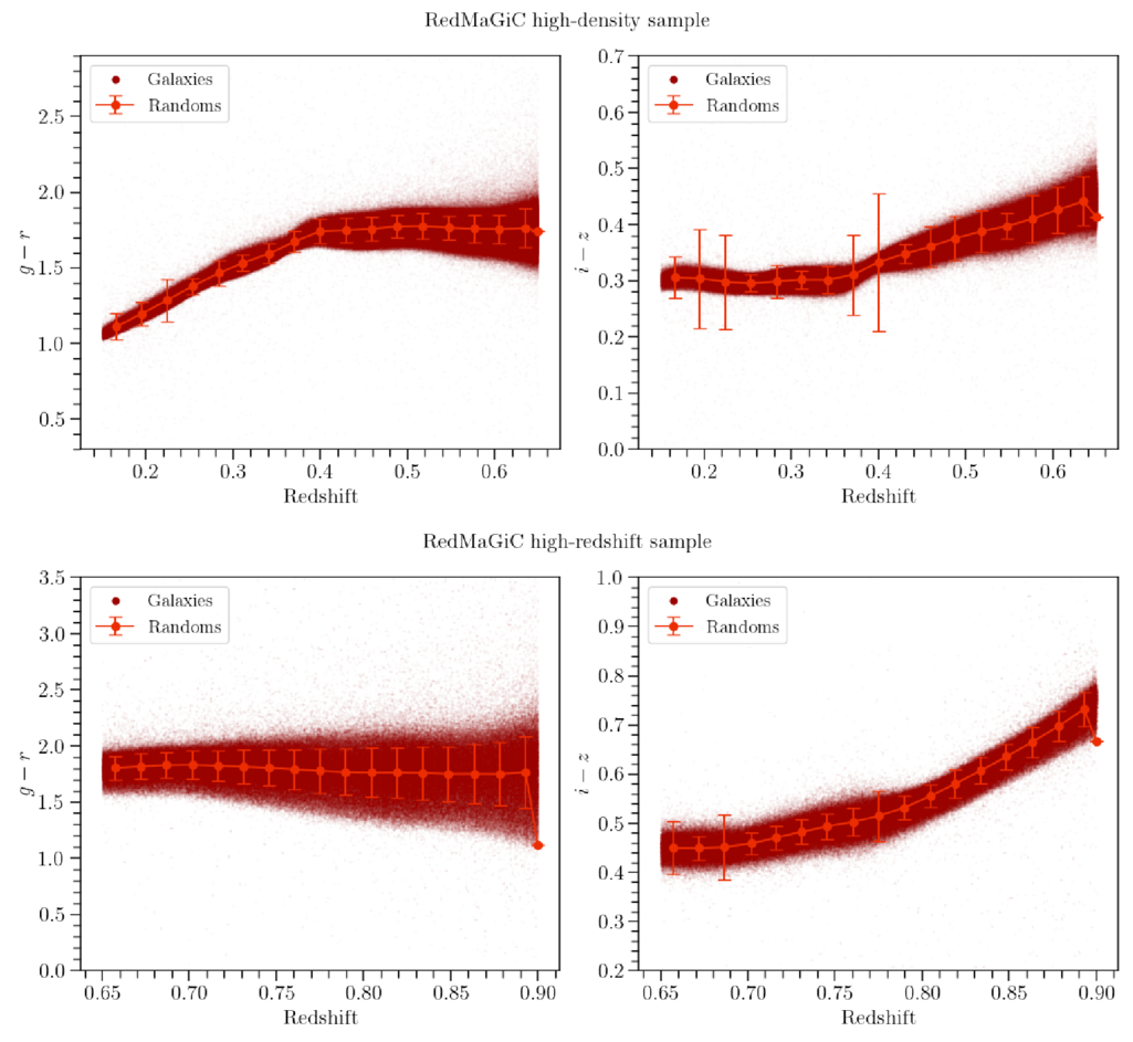
Caption: Figure 2.

Color vs. redshift for the two redMaGiC galaxy catalogs (small dark-red points) and their respective random galaxy catalogs (large light-red points connected by a solid line). Top row: high-density galaxy sample. Bottom row: high-luminosity, high-redshift sample.

Other Images in This Article
Copyright and Terms & Conditions

Additional terms of reuse