Image Details

Choose export citation format:

Nuclear Reactions in the Early Stage of Binary Mergers and Their Connections to Short Gamma-Ray Bursts

  • Authors: Rita K. Y. Lau

Rita K. Y. Lau 2026 The Astrophysical Journal 1000 .

  • Provider: AAS Journals

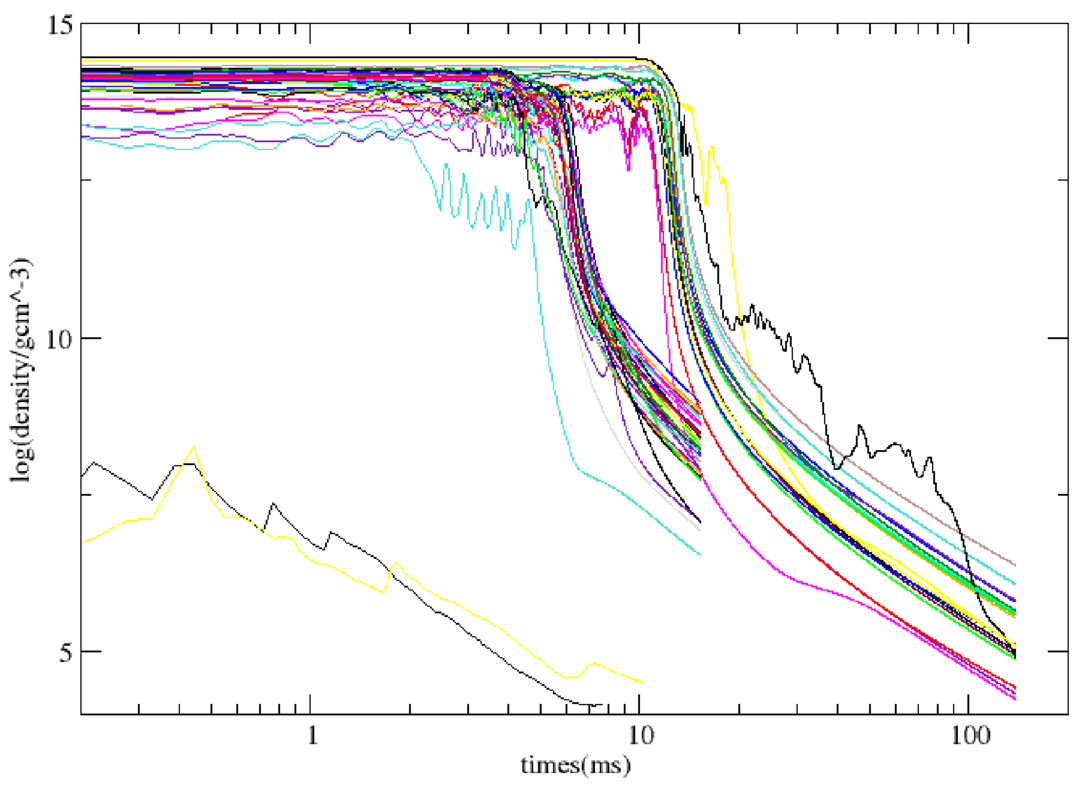
Caption: Figure 3.

Density versus time.

Other Images in This Article
Copyright and Terms & Conditions

Additional terms of reuse