Image Details

Choose export citation format:

Nuclear Reactions in the Early Stage of Binary Mergers and Their Connections to Short Gamma-Ray Bursts

  • Authors: Rita K. Y. Lau

Rita K. Y. Lau 2026 The Astrophysical Journal 1000 .

  • Provider: AAS Journals

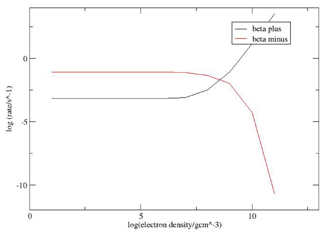
Caption: Figure 7.

Average beta decay rate as a function of electron density at a temperature of 10 GK.

Other Images in This Article
Copyright and Terms & Conditions

Additional terms of reuse