Image Details

Choose export citation format:

Galaxy and Mass Assembly (GAMA). The Properties of Quasar Host Galaxies: Star Formation Histories and Stellar Populations

  • Authors: Maria B. Stone, Roberto De Propris, Clare Wethers, Jari Kotilainen, Nischal Acharya, Benne Holwerda, Andrew M. Hopkins, Kevin Pimbblet

Maria B. Stone et al 2026 The Astrophysical Journal 997 .

  • Provider: AAS Journals

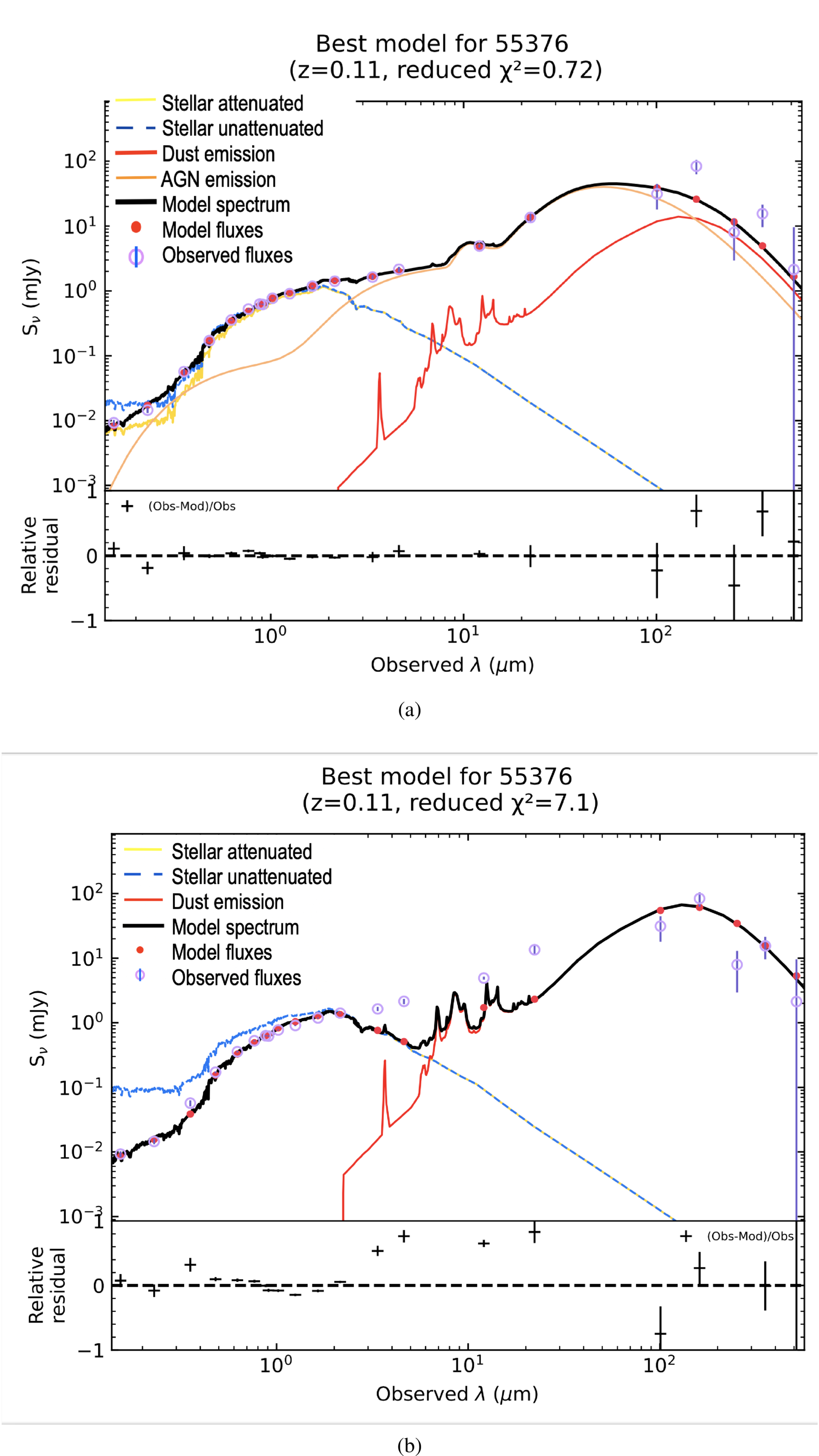
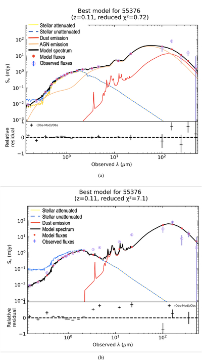
Caption: Figure 4.

SED analysis result with CIGALE for one quasar in our sample. (a) The top panel shows the result, which includes AGN taken into consideration. AGN emission is represented by the solid orange line. (b) The bottom panel shows the best model without the inclusion of the AGN module. Note that the reduced χ2 value is much lower when AGN is considered, indicating a better fit.

Other Images in This Article

Show More

Copyright and Terms & Conditions

Additional terms of reuse