Image Details

Choose export citation format:

Binary Companions of Evolved Stars in APOGEE DR14: Orbital Circularization

  • Authors: Adrian M. Price-Whelan, and Jeremy Goodman

2018 The Astrophysical Journal 867 5.

  • Provider: AAS Journals

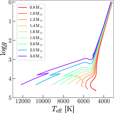
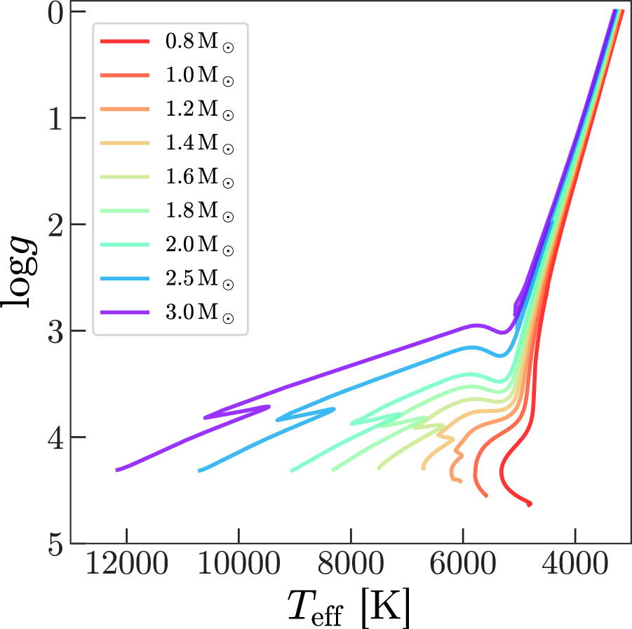
Caption: Figure 6.

Evolutionary tracks of the eight stellar models we use to simulate the orbital evolution of a population of binary star systems with an evolved member. The horizontal axis shows the effective temperature, Teff, and the vertical axis shows the log-surface-gravity, log g. The tracks are colored by the mass of the star. All models have solar metallicity.

Other Images in This Article
Copyright and Terms & Conditions