Image Details

Choose export citation format:

CONSTRAINTS ON PLANETESIMAL COLLISION MODELS IN DEBRIS DISKS

  • Authors: Meredith A. MacGregor, David J. Wilner, Claire Chandler, Luca Ricci, Sarah T. Maddison, Steven R. Cranmer, Sean M. Andrews, A. Meredith Hughes, and Amy Steele

2016 The Astrophysical Journal 823 79.

  • Provider: AAS Journals

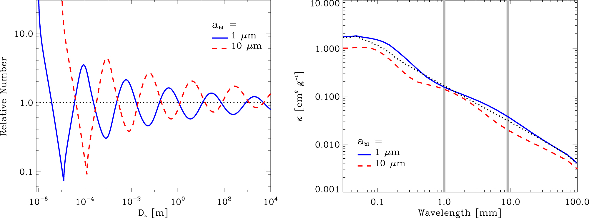
Caption: Figure 4.

Left: comparison of the relative size distribution, ﹩n{(a)/n(a)}_{\mathrm{pl}}﹩, for a steady-state collisional cascade with a blowout size ﹩{a}_{\mathrm{bl}}﹩ of 1 μm (blue solid line) and 10 μm (red dashed line). For both models, we have divided the analytic number distribution, n(a), by the expectation for a power-law distribution, ﹩n{(a)}_{\mathrm{pl}}\propto {a}^{-3.5}﹩, to show the waves introduced by the small-size cutoff more clearly. The expected power-law size distribution, ﹩n{(a)}_{\mathrm{pl}}﹩, is indicated by the dotted black line. For all models, we assume ﹩{Q}_{D}^{*}=6\times {10}^{3}﹩ J kg−1 and ﹩{v}_{\mathrm{rel}}=5﹩ km s−1. Right: resulting ensemble opacity as a function of wavelength for a 1 μm blowout size (blue solid line) and a 10 μm blowout size (red dashed line). Again, the dotted black line indicates the expected ensemble opacity for the power-law size distribution with no waves. The gray lines indicate the wavelengths of our (sub)millimeter and VLA observations used to determine the millimeter spectral index, ﹩{\alpha }_{\mathrm{mm}}﹩.

Other Images in This Article
Copyright and Terms & Conditions