Image Details

Choose export citation format:

LONGITUDINAL PROPERTIES OF A WIDESPREAD SOLAR ENERGETIC PARTICLE EVENT ON 2014 FEBRUARY 25: EVOLUTION OF THE ASSOCIATED CME SHOCK

  • Authors: D. Lario, R.-Y. Kwon, A. Vourlidas, N. E. Raouafi, D. K. Haggerty, G. C. Ho, B. J. Anderson, A. Papaioannou, R. Gómez-Herrero, N. Dresing, and P. Riley

2016 The Astrophysical Journal 819 72.

  • Provider: AAS Journals

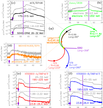
Caption: Figure 1.

(a) View from the north ecliptic pole showing the location of STEREO-A (STA; red symbol), near-Earth observers (L1; black symbol), STEREO-B (STB; blue symbol), MESSENGER (orange symbol) and Juno (green symbol) on day 56 of 2014 (2014 February 25). R and Long indicate the heliocentric distance and heliocentric inertial longitude of each observer, respectively. Also shown are nominal interplanetary magnetic field lines connecting each spacecraft with the Sun (yellow circle at the center, not to scale) considering the solar wind measured at the onset of the SEP event (for MESSENGER and Juno we have considered the same speed as that measured at L1). The purple line indicates the longitude of the parent active region (E82° as seen from Earth, W125° as seen from STEREO-A, W78° as seen from STEREO-B, E113° as seen from MESSENGER, and E34° as seen from Juno). (b) 10-minute averages of near-relativistic electron intensities measured at Juno. (c) 10-minute average of near-relativistic electron (top) and proton intensities measured at L1 by the ACE and SOHO spacecraft. (d) 10-minute average of near-relativistic electron intensities measured at MESSENGER. (e) 10-minute average of near-relativistic electron (top) and proton intensities measured at STEREO-A. (f) 10-minute average of near-relativistic electron (top) and proton intensities measured at STEREO-B. The purple arrows indicate the occurrence time of the parent solar flare and the purple vertical lines the passage of interplanetary shocks by each spacecraft.

Other Images in This Article

Show More

Copyright and Terms & Conditions