Image Details

Choose export citation format:

On the Distribution of Stellar Remnants around Massive Black Holes: Slow Mass Segregation, Star Cluster Inspirals, and Correlated Orbits

  • Authors: Fabio Antonini

Antonini 2014 The Astrophysical Journal 794 106.

  • Provider: AAS Journals

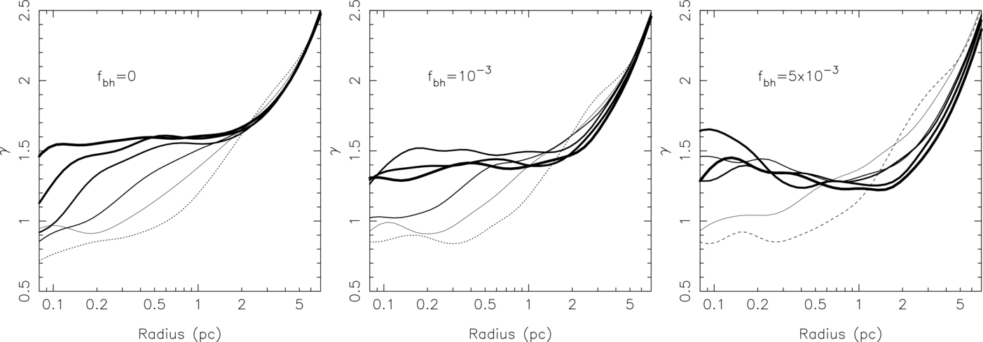
Caption: Figure 2.

Evolution of the density slope, γ ≡ −dlog ρ/dlog r, of the main-sequence density profile in multi-mass N-body models (center and right panels) compared with a model with only one mass component (left panel). The continued curves show profiles at ; increasing line width corresponds to increasing time. The dashed curve corresponds to the initial model. Adding a BH component accelerates the growth of a density cusp in the stellar component. However, the time to regrow a cusp in these models is always longer than , i.e., 5 Gyr when scaled to the Milky Way, a time longer than the mean stellar age of the Galactic NC.

Other Images in This Article

Show More

Copyright and Terms & Conditions