Image Details

Choose export citation format:

Unveiling the Nature of M94's (NGC4736) Outer Region: A Panchromatic Perspective

  • Authors: Ignacio Trujillo, Inma Martinez-Valpuesta, David Martínez-Delgado, Jorge Peñarrubia, R. Jay Gabany, and Michael Pohlen

TRUJILLO et al. 2009 The Astrophysical Journal 704 618.

  • Provider: AAS Journals

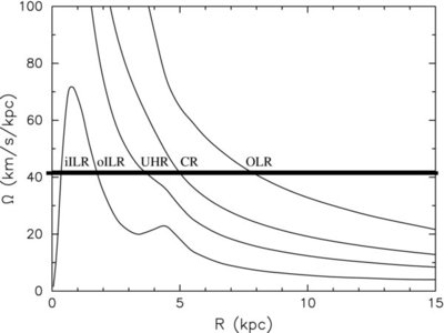
Caption: Figure 8.

Angular frequency of the proposed model. The solid horizontal line is the pattern speed chosen in this paper.

Other Images in This Article
Copyright and Terms & Conditions