Image Details

Choose export citation format:

Unveiling the Nature of M94's (NGC4736) Outer Region: A Panchromatic Perspective

  • Authors: Ignacio Trujillo, Inma Martinez-Valpuesta, David Martínez-Delgado, Jorge Peñarrubia, R. Jay Gabany, and Michael Pohlen

TRUJILLO et al. 2009 The Astrophysical Journal 704 618.

  • Provider: AAS Journals

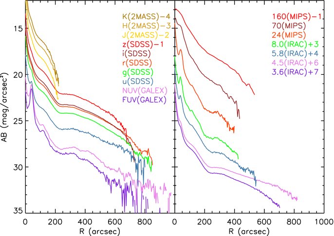
Caption: Figure 3.

Surface brightness profiles (AB system) of M94 (NGC4736) in 17 bands ranging from the FUV to MIPS 160 μm.

Other Images in This Article
Copyright and Terms & Conditions