Image Details

Choose export citation format:

Observations of the Naked-Eye GRB 080319B: Implications of Nature's Brightest Explosion

  • Authors: J. S. Bloom, D. A. Perley, W. Li, N. R. Butler, A. A. Miller, D. Kocevski, D. A. Kann, R. J. Foley, H.-W. Chen, A. V. Filippenko, D. L. Starr, B. Macomber, J. X. Prochaska, R. Chornock, D. Poznanski, S. Klose, M. F. Skrutskie, S. Lopez, P. Hall, K. Glazebrook, and C. H. Blake

BLOOM et al. 2009 The Astrophysical Journal 691 723.

  • Provider: AAS Journals

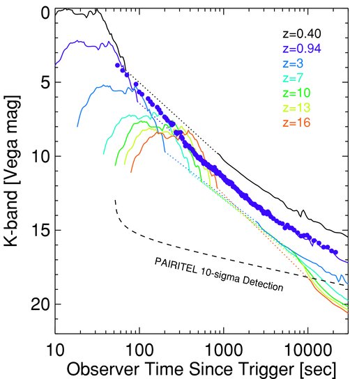
Caption: Figure 9.

Observability of GRB 080319B in the observer-frame K band at a variety of redshifts, based on a simple model of the temporal and spectral evolution of the afterglow bootstrapped from the V-band light curve. The dotted lines cover the gap in optical ( V-band) coverage. The afterglow, which would have been as bright as Vega if the event occurred at z = 0.40, remains remarkably bright even to z ≈ 16. The purple filled circles show the observed K-band light curve from this paper, showing a good agreement with the model of the z = 0.937 (purple) curve (suggesting, too, that the interpolation in the V-band time gap is appropriate). The PAIRITEL cumulative 10σ point-source sensitivity is shown, assuming a nominal start time after GRB trigger of 51 s. For all redshifts where the universe is transparent to Lyα photons, this source could have easily been detected by submeter class telescopes.

Other Images in This Article
Copyright and Terms & Conditions