Image Details

Choose export citation format:

MSSPE: Multi-Source Stellar Parameter Estimation under Incomplete Photometric Conditions

  • Authors: Jingjing Wu, Yuchen He, Bin Jiang, Yanxia Zhang

Jingjing Wu et al 2026 The Astronomical Journal 171 .

  • Provider: AAS Journals

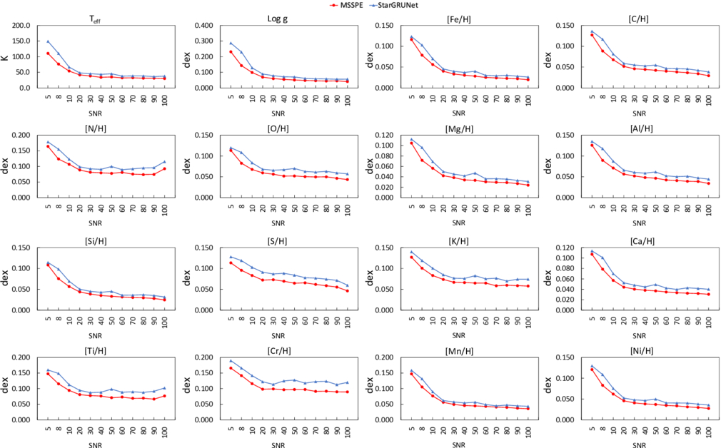
Caption: Figure 4.

Comparison of the MAE for 16 stellar parameters estimated by MSSPE (red dots) and StarGRUNet (blue triangles) across various SNR intervals. The results demonstrate that MSSPE consistently outperforms StarGRUNet, particularly at low SNR.

Other Images in This Article
Copyright and Terms & Conditions

Additional terms of reuse