Image Details

Choose export citation format:

A Robust Geometric Distortion Solution for the Main Survey Camera of CSST

  • Authors: Yibo Yan, 一波 闫, You Wu, 优 吴, Jundan Nie, 俊丹 聂, Tianmeng Zhang, 天萌 张, Chao Liu, 超 刘, Zhang Ban, 章 班, Zihuang Cao, 子皇 曹, Wei Du, 薇 杜, Yuedong Fang, 越东 方, Yi Hu, 义 胡, Guoliang Li, 国亮 李, Xiaobo Li, 晓波 李, Chenxiaoji Ling, 晨晓骥 凌, Jiaqi Lin, 家琪 林, Dezi Liu, 德子 刘, Yu Luo, 煜 罗, Bin Ma, 斌 马, Xianmin Meng, 宪民 孟, Juanjuan Ren, 娟娟 任, Li Shao, 立 邵, Hao Tian, 浩 田, Chengliang Wei, 成亮 韦, Peng Wei, 鹏 魏, Shoulin Wei, 守林 卫, Yun-Ao Xiao, 云奥 肖, Zhou Xie, 洲 谢, Su Yao, 苏 姚, Yan Yu, 彦 吁, Shengwen Zhang, 圣文 张, Xin Zhang, 鑫 张, Bowei Zhao, 博伟 赵, Zhimin Zhou, 志民 周, Hu Zou, 虎 邹

Yibo Yan et al 2026 The Astronomical Journal 171 .

  • Provider: AAS Journals

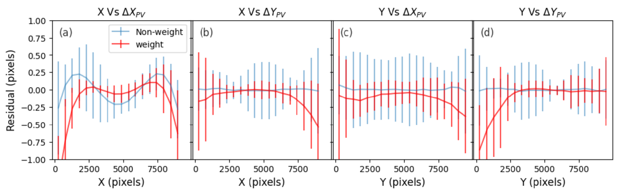
Caption: Figure 5.

Positional residuals (ΔXPV, ΔYPV) obtained after the third-order PV parameter fitting. The blue and red points represent the mean residuals of nonweighted and weighted solutions, respectively, computed in slices of 512 pixels. The corresponding blue and red error bars are defined as the 68.27th percentile of the residual distribution (after a 3σ clipping). However, overweighting the central region results in systematic deviations of the GD correction at the edges, with larger central-to-edge weight differences producing greater accuracy errors. All the sources shown have S/N > 10 in the g-1 detector.

Other Images in This Article
Copyright and Terms & Conditions

Additional terms of reuse