Image Details

Choose export citation format:

GEMS JWST: Transmission Spectroscopy of TOI-5205b Reveals Significant Stellar Contamination and a Metal-poor Atmosphere

  • Authors: Caleb I. Cañas, Jacob Lustig-Yaeger, Shang-Min Tsai, Simon Müller, Ravit Helled, Shubham Kanodia, Dana R. Louie, Giannina Guzmán Caloca, Peter Gao, Jessica Libby-Roberts, Kevin K. Hardegree-Ullman, Knicole D. Colón, Ian Czekala, Megan Delamer, Te Han, Andrea S.J. Lin, Suvrath Mahadevan, Erin M. May, Joe P. Ninan, Anjali A. A. Piette, Guðmundur Stefánsson, Kevin B. Stevenson, Johanna Teske, Nicole L. Wallack

Caleb I. Cañas et al 2026 The Astronomical Journal 171 .

  • Provider: AAS Journals

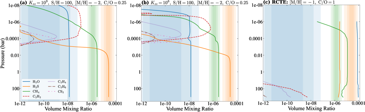
Caption: Figure 9.

The volume mixing ratios of the most select carbon-bearing species (CH4, C2H4, C2H6, and CS2), H2O, and H2S from the best-fitting models with a TLS component in Section 4.2 for (a) ﹩{\mathrm{log}}{K}_{zz}=9﹩, (b) ﹩{\mathrm{log}}{K}_{zz}=6﹩, and (c) RCTE. The ±1σ−3σ VMRs retrieved for model M3.1, assuming free chemistry, in Section 5.1.3 using POSEIDON for the coadded ExoTiC-JEDI data are the shaded regions for H2O (blue), CH4 (green), and H2S (orange).

Other Images in This Article

Show More

Copyright and Terms & Conditions

Additional terms of reuse