Image Details

Choose export citation format:

GEMS JWST: Transmission Spectroscopy of TOI-5205b Reveals Significant Stellar Contamination and a Metal-poor Atmosphere

  • Authors: Caleb I. Cañas, Jacob Lustig-Yaeger, Shang-Min Tsai, Simon Müller, Ravit Helled, Shubham Kanodia, Dana R. Louie, Giannina Guzmán Caloca, Peter Gao, Jessica Libby-Roberts, Kevin K. Hardegree-Ullman, Knicole D. Colón, Ian Czekala, Megan Delamer, Te Han, Andrea S.J. Lin, Suvrath Mahadevan, Erin M. May, Joe P. Ninan, Anjali A. A. Piette, Guðmundur Stefánsson, Kevin B. Stevenson, Johanna Teske, Nicole L. Wallack

Caleb I. Cañas et al 2026 The Astronomical Journal 171 .

  • Provider: AAS Journals

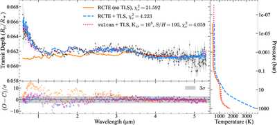
Caption: Figure 3.

Top left: coadded TOI-5205b ExoTiC-JEDI transmission spectrum along with the best-fitting grid-based models assuming equilibrium chemistry (orange line, obtained from PICASO), equilibrium chemistry with TLS (blue-dotted line), or disequilibrium chemistry with TLS (pink-dotted line, obtained from VULCAN). Models with TLS cannot fully replicate the slope at the blue end of the spectrum. Bottom left: the difference between the data and model, scaled by the errors of the data. The ±3σ region is shaded for reference. Right: the pressure–temperature profile for each grid shown in the top left panel.

Other Images in This Article

Show More

Copyright and Terms & Conditions

Additional terms of reuse