Image Details

Choose export citation format:

The Walkaway Star HP Tau/G2: Evidence for a Stellar Merger

  • Authors: Bo Reipurth, J. Bally, P. Friberg, D. M. Faes, C. Briceño, M. S. Connelley, C. Flores, A. M. Cody, H. Zinnecker

Bo Reipurth et al 2026 The Astronomical Journal 171 .

  • Provider: AAS Journals

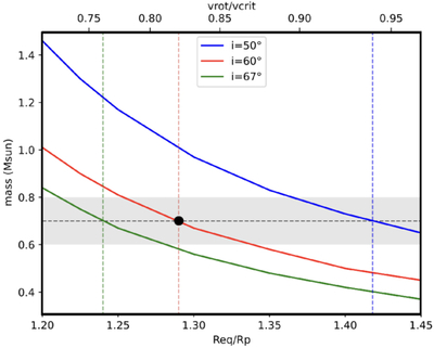
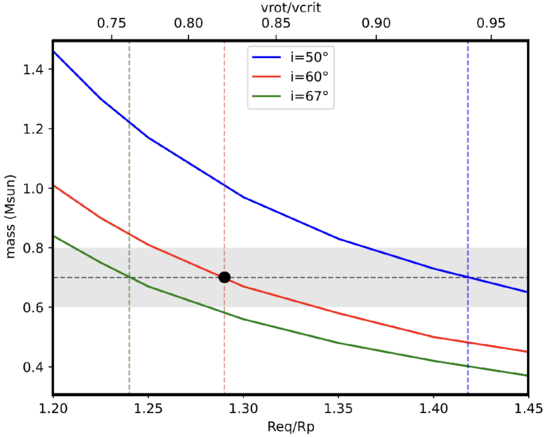
Caption: Figure 13.

Application of the rigid rotator model to the star HP Tau/G2, showing stellar mass (M) as a function of the rotation rate. The model incorporates observational constraints: projected rotational velocity ﹩v\sin i\approx ﹩ 127 km s−1, and projected equatorial radius ﹩R\sin i\approx 3.1{R}_{\odot }﹩. The plotted curves correspond to stellar inclinations (i): 50° (blue), 60° (red), and 67° (green). Within an assumed mass range of 0.6–0.8 M, the star is identified as a fast rotator, with its rotation speed constrained between 0.76 and 0.94 of the breakup velocity, depending on the assumed inclination.

Other Images in This Article

Show More

Copyright and Terms & Conditions

Additional terms of reuse