Image Details

Choose export citation format:

TOI-6692 b: An Eccentric 130 Day Period Giant Planet with a Single Transit from TESS

  • Authors: Allyson Bieryla, Karen A. Collins, George Zhou, David W. Latham, Brad Carter, Paul Dalba, Robert Gagliano, Thomas L. Jacobs, Martti Holst Kristiansen, Daryll LaCourse, Mark Omohundro, H.M. Schwengeler, Khalid Barkaoui, Rafael Brahm, R. Paul Butler, Douglas A. Caldwell, Jeffrey D. Crane, Tansu Daylan, Sarah Deveny, Jason D. Eastman, Yadira S. Gaibor, Michaël Gillon, Thomas Henning, Keith Horne, Steve B. Howell, Emmanuel Jehin, Eric L. N. Jensen, Andrés Jordán, Michelle Kunimoto, Colin Littlefield, Léna Parc, Samuel N. Quinn, Malena Rice, Joseph E. Rodriguez, Richard P. Schwarz, Ramotholo Sefako, Stephen A. Shectman, Avi Shporer, Abderahmane Soubkiou, Gregor Srdoc, Michal Steiner, Marcelo Tala Pinto, Johanna Teske, Trifon Trifonov, Solène Ulmer-Moll, Cristilyn N. Watkins, Sharon X. Wang, Jhon Yana Galarza, Samuel W. Yee

Allyson Bieryla et al 2026 The Astronomical Journal 171 .

  • Provider: AAS Journals

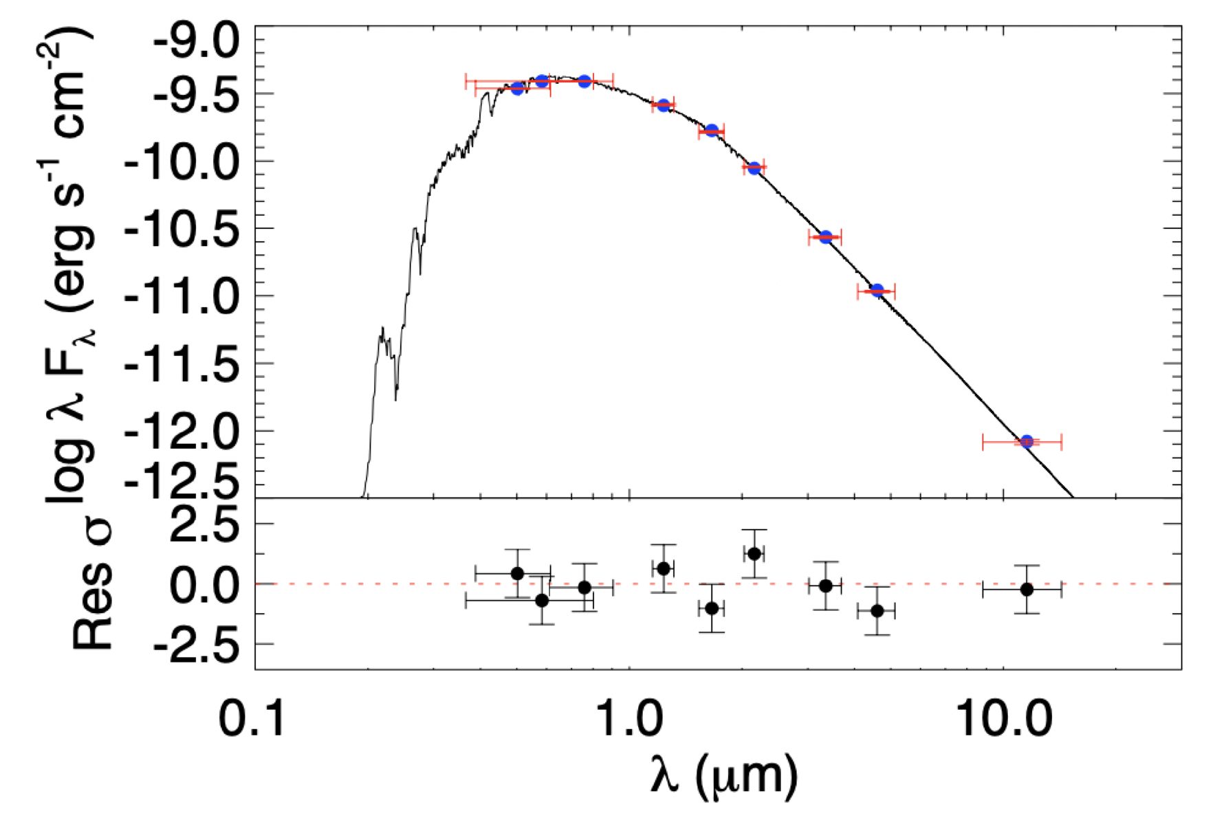
Caption: Figure 4.

Spectral energy distribution of the target star TOI-6692. Magnitudes from Gaia G, Bp, and Rp, 2MASS J, H, and Ks, and WISE W1, W2, W3, and W4 are included in the global modeling of the system and are shown in dark blue.

Other Images in This Article
Copyright and Terms & Conditions

Additional terms of reuse